
| Pesquisa Aplicada | https://doi.org/10.21041/ra.v10i1.417 |
Resistência ao fogo de blocos de alvenaria cerâmica de vedação utilizando proteção de tinta intumescente
Fire resistance of ceramic-masonry sealing blocks using intumescent paint protection
Resistencia al fuego de bloques de albañilería cerámica de sellado utilizando protección de tinta intumescente
C. A. S.
Sales1
,
C. F. G.
Nascimento1
,
T. M.
Silva2
,
L. M.
Barreto2
,
P. C.
Lordsleem2
,
W. A.
Soares2
,
P.
Castro-Borges3
,
E. C. B.
Monteiro1
2
*
1 Departamento de Engenharia Civil, Universidade Católica de Pernambuco, Recife-PE, Brasil..
2 Departamento de Engenharia Civil, Universidade de Pernambuco, Recife-PE, Brasil..
3 Centro de Investigación y de Estudios Avanzados (CINVESTAV) Unidad Mérida, México..
* Autor de Contato: eliana@poli.br
Recepção: 01 de julho de 2019.
Aceitação: 27 de novembro de 2019.
Publicação: 30 de diciembre de 2019
| Citar como: Sales, C. A. S., Nascimento, C. F. G., Silva, T. M., Barreto, Lordsleem Jr., A. C., Soares, W. A., Castro-Borges, P., L. M., Monteiro, E. C. B. (2020), "Resistência ao fogo de blocos de alvenaria cerâmica de vedaçâo utilizando proteção de tinta intumescente", Revista ALCONPAT, 10 (1), pp. 53 - 68, DOI: https://doi.org/10.21041/ra.v10i1.417 |
RESUMO
Avaliou-se a eficiência da proteção superficial de estruturas de alvenaria de vedação com tinta intumescente em relação à resistência mecânica e ao isolamento térmico. Foram utilizados 60 blocos cerâmicos de alvenaria de vedação. A temperatura da face diretamente exposta à chama foi em média 25% inferior para o bloco com a proteção passiva. A resistência à compressão dos blocos com proteção passiva foi cerca de 70% superior aos blocos sem proteção, após 60 minutos de exposição direta a chama. Mais de 70% dos blocos sem proteção passiva e que foram expostos a chama tiveram resistência a compressão de 1,35 MPa, enquanto 100% dos blocos com proteção tiveram valores de 2,38 MPa, mesmo após 60 minutos de exposição.
Palavras-chave:
alvenaria,
incêndio,
proteção passiva,
tintas intumescentes,
resistência
ABSTRACT
The efficiency of surface protection of sealing masonry structures with intumescent ink was evaluated in relation to mechanical resistance and thermal insulation. Sixty ceramic sealing masonry blocks were used. The temperature of the face directly exposed to the flame was on average 25% lower for the block with passive protection. The compressive strength of the blocks with passive protection was about 70% higher than the unprotected blocks, after 60 minutes of direct exposure to the flame. More than 70% of the blocks without passive protection and that were exposed to flame had compressive resistance of 1.35 MPa, while 100% of the blocks with protection had values 2.38 MPa, even after 60 minutes of exposure.
Keywords:
masonry,
fire,
passive protection,
intumescent paints,
resistance
RESUMEN
Se evaluó la eficiencia de la protección superficial de las estructuras de mampostería de sellado con tinta intumescente en relación con la resistencia mecánica y el aislamiento térmico. Se utilizaron sesenta bloques de mampostería de sellado cerámico. La temperatura de la cara directamente expuesta a la llama fue en promedio un 25% menor para el bloque con protección pasiva. La fuerza de compresión de los bloques con protección pasiva fue aproximadamente 70% mayor que la de los bloques sin protección, después de 60 minutos de exposición directa a la llama. Más del 70% de los bloques sin protección pasiva y expuestos a llamas tenían una resistencia a la compresión de 1,35 MPa, mientras que el 100% de los bloques con protección tenían valores de 2,38 MPa, incluso después de 60 minutos de exposición.
Palabras clave:
albañilería,
incendio,
protección pasiva,
pinturas intumescentes,
resistencia
1. IntroduÇÃo
Os incêndios estão presentes na história de várias cidades no mundo e, em algumas delas, chegaram a protagonizar mudanças significativas no desenho urbano e nas características construtivas de suas edificações acontecendo em escala urbana, ou seja, atingindo centenas ou milhares de estruturas colocando em risco a vida de milhares de pessoas (FREITAS, 2014).
No Brasil, o conhecimento sobre segurança contra incêndio em edificações só se tornou assunto de importância após duas grandes tragédias nacionais: os incêndios nos edifícios Andraus (em 1972 com dezesseis mortos) e Joelma (em 1974 com cento e oitenta e nove mortos), ambos na cidade de São Paulo até entrar em pauta para o desenvolvimento de normas regulamentadoras para minimizar esses acontecimentos.
As normas e legislações nacionais de segurança contra incêndio definem que as paredes e elementos de vedação devem possuir um determinado tempo de resistência ao fogo, o qual varia com o tipo de ocupação da edificação e com a altura total. Contudo as sugestões de desempenho de materiais oferecidas pela grande parte desses códigos normalmente são baseadas em conhecimentos empíricos, sendo que os mesmos denotam uma resistência ao fogo bem superior, quando ensaiados em laboratório. Como os blocos cerâmicos possuem bom desempenho ao fogo, logicamente, espera-se que uma parede construída com tais blocos também possua boa resistência ao fogo.
Segundo a NBR 14432 (2000), pode ser definida como a propriedade de um elemento de construção de resistir à ação do fogo por determinado período de tempo, mantendo sua segurança estrutural, estanqueidade e isolamento térmico.
A resistência ao fogo das paredes de uma edificação é muito importante para a segurança contra incêndio, uma vez que, em incêndios ocorridos em edifícios de grande altura, constatou-se que as vias de circulação apresentavam uma grande vulnerabilidade à fumaça, ao calor e às chamas, o que dificultava o abandono da edificação e permitia ao incêndio propagar-se rapidamente (ONO, 2007).
Andreini e Sassu (2011) defendem que uma parede alvenaria por não produzirem fumaça ou gases tóxicos, a mesma com blocos cerâmicos torna-se uma boa alternativa para minimizar a propagação do incêndio, proporcionando tanto o isolamento térmico e quanto a estabilidade necessária ao edifício. Entretanto, foram encontrados poucos estudos sobre a resistência ao fogo de paredes de alvenaria com blocos cerâmicos, os quais envolveram somente paredes com 14 cm de espessura (THOMAZ e HELENE, 2000).
Nguyen e Meftah (2012), reforçam que os estudos para determinação das características mecânicas desses materiais são realizados em laboratórios, com resultados empíricos resultando em estruturas mais caras (NADJAI et al., (2006).
A proteção passiva contra incêndio é constituída por meios de proteção incorporados à edificação e que não requer nenhum tipo de acionamento para o seu funcionamento em situação de incêndio. São exemplos de proteção passiva o controle de materiais de acabamento e revestimento, proteção das rotas de fuga, compartimentação e isolamento de risco (SEITO et al., 2008).
Assim, medidas devem ser implantadas na proteção contra incêndio e algumas delas são as tintas intumescentes que foram desenvolvidas há muito tempo - a primeira patente é de 1938 e os princípios que regem sua atuação já são muito bem conhecidos. Revestimentos intumescentes são muito utilizados na proteção de estruturas de aço para períodos de trinta e sessenta minutos, e seu uso para noventa minutos tem aumentado em alguns países.
Devido à falta de informações técnicas oferecidas pela maioria dos fabricantes de tintas intumescentes, em relação à resistência à compressão de blocos cerâmicos após exposição ao fogo, de acordo com regulamentos ou informações geralmente generalizadas e também por causa de poucas pesquisas científicas encontradas na literatura, o objetivo deste trabalho foi estudar a resistência ao fogo, com a aplicação de proteção passiva de tinta intumescente, nos blocos de alvenaria de cerâmica de vedação, após exposição direta à chama. Desta forma, a eficiência da proteção passiva em relação à resistência mecânica e ao isolamento térmico pode ser verificada.
1.1 Fatores que influenciam o desempenho ao fogo de paredes de alvenaria
O desempenho ao fogo de uma parede de alvenaria depende de diversos fatores. Primeiramente, destacam-se fatores ligados ao tipo de bloco utilizado na alvenaria, compreendendo as características do material utilizado e a geometria dos blocos (THOMAZ; HELENE, 2000).
Além do bloco, as características construtivas como o tipo das juntas de assentamento, dos revestimentos e do preenchimento dos vazados também exercem influência na resistência ao fogo (THOMAZ; HELENE, 2000; MEYER, 2006). Por fim, Meyer (2006) ainda apresenta alguns fatores ligados à estabilidade estrutural da parede, como o índice de esbeltez da parede, o carregamento aplicado e a presença de excentricidades.
1.2 ProteÇÃo passiva
A obtenção das condições de segurança ao incêndio requer adequados meios de combate, visando não permitir o colapso estrutural do edifício, facilitando a fuga dos usuários e garantindo a aproximação e ingresso no edifício para ações de combate (COELHO, 2010).
Proteção passiva é o conjunto de medidas de proteção contra situações de incêndio incorporadas à construção do edifício e que devem, portanto, ser previstas pelo arquiteto. Seu desempenho ao fogo independe de qualquer ação externa (SEITO, et al., 2008).
Os principais meios de proteção passiva são: saídas de emergência (localização, quantidade e projeto), reação ao fogo de materiais de acabamento e revestimento, resistência ao fogo dos elementos construtivos, controle de fumaça, separação entre edificações.
1.3 Tintas intumescentes
As tintas intumescentes foram desenvolvidas há muito tempo - a primeira patente é de 1938 - e os princípios que regem sua atuação já são muito bem conhecidos. Desde sua criação, e, em particular, durante os últimos vinte anos, seu uso tem crescido em todos os países. O termo intumescente deriva do latim “tumescere”, que significa iniciar, expandir.
A intumescência ocorre pela reação de componentes ativos sob influência do calor, produzindo uma expansão significativa. Esses componentes ativos, ou intumescentes, expandem muitas vezes sua espessura inicial aplicada quando aquecidos (tipicamente mais do que 60x), produzindo uma massa carbonácea que protege qualquer substrato sobre o qual o revestimento tenha sido aplicado.
Os revestimentos intumescentes possuem os seguintes ingredientes: um catalisador que se decompõe sob efeito do calor, produzindo um ácido mineral (como o ácido fosfórico). O polifosfato de amônio é o catalizador comumente utilizado; um agente carbonizante, como o amido, que se combina com o ácido mineral, formando uma massa carbonácea; um aglutinante, ou resina, que amolece a uma temperatura predeterminada; um agente espumífico que se decompõe juntamente com a fusão do ligante, liberando grandes volumes de gases não-inflamáveis. Esses gases incluem o dióxido de carbono, amônia e vapor de água.
A produção desses gases promove o inchamento (intumescimento) da massa carbonácea, gerando uma espuma carbonácea, que se expande cerca de 60x (ou mais) o volume original da tinta, promovendo a proteção térmica. O uso destes produtos corresponde, em certos países, a mais do que 40% do mercado de produtos de proteção térmica usados em edifícios de múltiplos andares.
1.4 Desempenho estrutural em situaÇÃo de incêndio
Em situação de incêndio, há necessidade de se minimizar o risco de colapso estrutural da edificação. Os materiais empregados na estrutura e nas compartimentações devem estar em acordo com o TRRF - Tempo Requerido de Resistência ao Fogo, conforme a norma NBR 14.432 (2000). Devem também ser atendidas normas específicas para o tipo de estrutura em questão, como a NBR 15.575 (2013) e a NBR 14323 (2013). Para outros de estrutura, a NBR 15.575 (2013) estabelece que deve ser obedecido o Eurocode correspondente.
2. Materiais e mÉtodos
2.1 Materiais e equipamentos
Foram utilizados 60 (sessenta) Blocos Cerâmicos de Alvenaria de vedação com 8 furos na horizontal e dimensões (9 cm x 19 cm x 19 cm), adquiridas no comércio de Recife-PE; Maçarico com Gás Butano (Temperatura da chama 1200 °C); Termômetro Infravermelho Marca BENETECH modelo GM300 (Temperatura: -50°C a 380°C); Termômetro digital Salvterm 1200K (Temperatura: -50ºC a 1350ºC) com sensor de superfície com haste de 6,5mm de diâmetro por 260mm de comprimento; Tinta Intumescente CKC-333®; Rolo de espuma para aplicação da tinta intumescente; Equipamentos de Proteção individual: máscara, luvas e óculos de Proteção; Proteção do laboratório: Extintor Portátil de Pó Químico Seco de 4Kg.
2.2 Caracterização dos tipos de corpos de prova
Os 60 (sessenta) corpos de prova foram distribuídos em 4 grupos (tipos) de 15 (quinze) blocos, sendo os dois primeiros grupos utilizados como base de referência para fins de análise de resistência à compressão (condição saturada e não saturada). Podemos verificar o organograma com o resumo dos ensaios, bem como, o detalhamento da execução experimental por tipo mostrado na Figura 1.
![]() |
||||
| Figura 1. Planejamento experimental. | ||||
É importante notar que o experimento é uma simulação para comparação e análise do comportamento de blocos de vedação com e sem tinta de proteção passiva, que apesar de ter a NBR 10636/89 como parâmetro, a metodologia aplicada no experimento realizado nesta pesquisa não está associada à norma citada e à ISO 834, desta forma não é possível atestar o tempo de resistência ao fogo (TRF) das amostras de acordo com as normas.
É interessante ressaltar que o tempo de exposição ao fogo definido para os grupos 3 e 4 foi de 60 minutos em função de limitações de custo do combustível, por ser o tempo indicado pelo fabricante como tempo de proteção para 2 demãos de tinta, bem como por ser o dobro do tempo mínimo exigido para paredes estruturais até cinco pavimentos, segundo a norma de desempenho.
É importante mencionar que existem diferenças significativas entre ensaios para o sistema de vedação, prismas e blocos individualmente, bem como que os revestimentos desses últimos também influenciam nos testes.
A análise será realizada no bloco cerâmico de vedação, sem qualquer tipo de revestimento que não seja a proteção da tinta intumescente (tipo 3). Essa condição, além de simular condições de muitas unidades habitacionais de baixa renda, também simula a condição mais extrema possível do material no caso de um incêndio.
A aplicação da chama, bem como as medições de temperatura foram realizadas no centro geométrico de todas as faces, com a finalidade de encontrarmos os maiores valores a que foram expostos, ficando a lata contendo o combustível a uma distância de 20 centímetros dos blocos expostos. A temperatura média ambiente durante os ensaios foi de 33ºC.
2.2.1 Corpo de prova Tipo 1 (Bloco de referência - não saturado) e Corpo de Prova Tipo 2 (Bloco de referência - saturado)
Os 15 (quinze) blocos caracterizados como do tipo 1 são aqueles utilizados como referência para efeito de resistência à compressão. Para esses blocos não foram aplicadas proteções passivas nem exposição a nenhum tipo de chama, sendo conservados a temperatura ambiente.
Já os 15 (quinze) blocos caracterizados como do tipo 2, diferentemente do modelo anterior foram ensaiados após 24h de imersão em água. No que se refere ao recebimento, preparação, acondicionamento dos corpos de prova e procedimentos estão de acordo com o previsto nas normas ABNT NBR 15270-1, ABNT NBR 15270-2, ABNT NBR 15270-3 e podem ser observados no diagrama a seguir na Figura 2.
![]() |
||||
| Figura 2. Recebimento, preparação e acondicionamento dos corpos de provas. | ||||
2.2.2 Corpo de Prova Tipo 3 (com aplicação de tinta intumescente e exposição direta a chama) e Corpo de Prova Tipo 4 (sem aplicação de tinta intumescente e exposição direta a chama)
Nos 15 (quinze) blocos denominados tipo 3, foram executados os procedimentos iniciais de caracterização e preparação (capeamento) idênticos aos já descritos para o tipo 1 (Figura 3), porém, nesse tipo de bloco foram aplicadas 2 (duas) demãos de tinta intumescente (Figura 4), conforme descrição a seguir, além de exposição de cada bloco à 60 minutos de exposição direta a chama mostrado na Figura 5.
![]() |
||||
| Figura 3. Capeamento dos blocos cerâmicos. | ||||

Figura 4.
Aplicação da tinta intumescente.

Figura 5.
Aplicação da tinta intumescente
Foram aferidas, após a aplicação dos 60 minutos de exposição direta a chama, a temperatura da face que sofreu diretamente a aplicação da chama, a temperatura da face imediatamente oposta, através do primeiro septo do bloco e a temperatura da face do bloco sem aplicação de tinta intumescente.
Além do levantamento de temperaturas visando verificação da eficiência do isolamento térmico, após a exposição à chama, os blocos foram levados à prensa hidráulica para fins de verificação da resistência a compressão e carga máxima suportada.
A tinta escolhida para o ensaio foi a tinta intumescente da marca CKC-333, a qual foi selecionada em função da gama de certificações internacionais, bem como por ter sido a única marca, dentre as disponíveis no mercado nacional, que se dispuseram a apoiar esta pesquisa encaminhando amostra para teste.
A tinta intumescente CKC-333 é um revestimento interno à base de água acrílica, atóxico, inodoro, antimofo e antifungos, que a aproximadamente 200°C, dá início a um processo de expansão volumétrica, provocando o retardamento da elevação das temperaturas nos elementos de concretos, alvenarias e drywall.
Já nos 15 (quinze) blocos caracterizados como do tipo 4 foram executados os procedimentos iniciais de caracterização e preparação (capeamento) idênticos aos já descritos para o tipo 1, porém, não foi aplicada proteção passiva por tinta intumescente, havendo 60 minutos de exposição direta a chama.
Foram aferidas as temperaturas, após a aplicação dos 60 minutos de exposição direta a chama, nos mesmos locais que os blocos do tipo 3, bem como, após o levantamento de temperaturas, os blocos foram levados a prensa hidráulica para fins de verificação da resistência a compressão e carga máxima suportada. Os blocos dos tipos 3 e 4 foram submetidos a uma hora de incidência direta à chama e antes de serem levados a prensa hidráulica, para verificação da resistência a compressão e carga máxima suportada (Figura 6), foram aferidas as temperaturas nas faces onde a chama incidiu diretamente, na face imediatamente oposta, através do primeiro septo e na face mais distante da aplicação da chama. O procedimento experimental para os blocos do tipo 4 foi idêntico ao realizado com os blocos do tipo 3, porém, esses corpos de prova não receberam a proteção passiva por tinta intumescente mostrado na Figura 7.
![]() |
||||
| Figura 6. Resistência à compressão. | ||||

Figura 7.
Blocos sem proteção passiva.
3. RESULTADOS E DISCURSÕES
Para determinar a resistência e o desvio padrão dos blocos do (tipo 1) foram utilizadas as Equações 1 e 2 respectivamente.

(1)

(2)
Para determinar a resistência máxima e mínima considerando os valores calculados anteriormente para a média e desvio padrão foi utilizado a Equação 3.
Para k = 3
![]()
(3)
Onde k é o coeficiente de variação do tempo em segundos. Para determinação do desvio padrão e a carga máxima suportada dos blocos do tipo 1 utilizou-se a equação 3 e 4 respectivamente.

(4)
Para k = 3
![]()
(5)
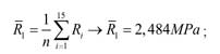
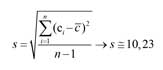
Para determinar a resistência e o desvio padrão dos blocos do tipo 2, utilizou-se a Equações 1 e 2 respectivamente.


Considerando os valores calculados anteriormente para média e desvio padrão conforme Equação 3, tem-se:
![]()
Para determinação da média da carga máxima, o desvio padrão e as cargas máxima e mínima suportada pelos blocos do tipo 2, foram utilizadas as Equações 6, 7 e 8 respectivamente.

(6)

(7)
![]()
(8)
Levando em consideração os três desvios padrão, observa-se que todos os valores para a resistência a compressão e carga máxima suportada dos blocos dos tipos 1 e 2 devem ser considerados como representativos calculados de acordo com as Equações 9 e 10 respectivamente. Comparando os valores médios das resistências à compressão e as cargas máximas suportadas dos tipos 1 e 2, tem-se:

(9)

(10)
Realizou-se a análise de variância (ANOVA) para um único fator, que para os tipos 1 e 2 se distinguem pela condição saturada ou não, através da análise do software MS Excel 2016, onde os dados de resistência à compressão resultaram na Tabela 1.
| Tabela 1. ANOVA (Resistência Tipos 1 e 2). | ||||||||||
| Fonte da variação | SQ | gl | MQ | F | valor-P | F crítico | ||||
|---|---|---|---|---|---|---|---|---|---|---|
| Entre grupos | 1.506 | 1 | 1.50662 | 4.3395 | 0.046486 | 4.19597 | ||||
| Dentro dos grupos | 9.721 | 28 | 0.34719 | |||||||
Pode-se verificar que, como o valor de P encontrado (0,046) é menor do que o nível de significância estipulado que foi de 5% (0,05) ou, analisando de outra forma, como o valor de F (4,33) encontrado é maior do que o Fcrítico (4,19) então devemos rejeitar a hipótese nula (H0) em que as médias seriam iguais.
Dessa forma, podemos afirmar que as condições saturadas e não saturadas influenciam os resultados obtidos para a resistência à compressão. Realizando a mesma verificação de representatividade dos dados coletados para os blocos dos tipos 3 e 4, verificamos que, para três desvios padrão, todos os dados são significativos mostrados nas Tabelas 2 e 3.
Avaliando inicialmente a temperatura da face onde a chama incidiu diretamente, verifica-se que as temperaturas variam aproximadamente 25% em termos médios de acordo com a Equação 11.
Quando analisamos as faces imediatamente opostas a aplicação da chama, a variação de temperatura entre os blocos com e sem proteção assume valores médios da ordem de 172% maiores quando os blocos não possuem proteção passiva mostrado na Equação 12.
Nas Figuras 8 e 9 observa-se os resultados do comportamento das faces dos blocos quando exposto e não exposto a chama e como a tinta para proteção utilizada influencia nesse processo.
Essa menor diferença entre as variações de temperatura, na face oposta mais distante deve ocorrer em virtude do isolamento térmico natural que o ar entre os septos proporciona ao bloco. Verifica-se que nenhum dos blocos com proteção passiva atingiu temperaturas maiores que 46º C. A seguir utilizou-se a Equação 13 para determinar a percentagem dessa variação.
Realizando análise de variância para o fator temperatura dos tipos 3 e 4, considerando as temperaturas de cada face medida e para todos os grupos de medições de temperatura realizadas, o valor de P é inferior ao nível de significância estipulado de 5% (0,05), bem como o valor de F é inferior ao Fcrit.
Dessa forma, rejeita-se a hipótese nula (H0) em que as médias seriam iguais. Portanto, podemos afirmar que os valores são distintos e as condições de proteção e sem proteção passiva, tornam as amostras distintas. As Equações 14 e 15 foram utilizadas no comparativo da resistência à compressão e da capacidade máxima de carga entre os blocos com e sem proteção passiva.
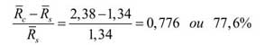
Verifica-se que após a exposição ao fogo, durante o período de 60 minutos, os blocos sem proteção diminuíram em média 70% de sua resistência à compressão e 67% da sua capacidade máxima de carga quando comparados aos blocos que possuíam a proteção passiva.
Pode-se ainda comparar os valores de resistência à compressão e capacidade de carga entre os blocos com proteção e os blocos do tipo 1 que foram aqueles que tiveram maiores valores de resistência e capacidade de carga, os quais foram escolhidos como referência conforme mostrado nas Equações 16 e 17.
Tabela 2. Valores médios e desvios padrão para blocos do tipo 3.
Dados
TIPO 3 (Com Exposição à Chama e Com Proteção)
Temperatura (60' de exposição)
Cmax(KN)
R(MPa)
Td(°C)
Ti1(°C)
Ti2(°C)
ΔT1(°C)
ΔT2(°C)
Média (X)
938.067
187.000
40.920
751.067
897.147
37.993
2.380
Desvio Padrão (s)
54.61
10.62
2.00
57.89
54.21
7.19
0.42
X+3s
1101.89
218.85
46.91
924.75
1059.79
59.55
3.64
X-3s
774.25
155.15
34.93
577.39
734.50
16.44
1.12
Tabela 3. Valores médios e desvios padrão para blocos do tipo 4.
Dados
TIPO 4 (Com Exposição à Chama e Sem Proteção)
Temperatura (60' de exposição)
Cmax(KN)
R(MPa)
Td(°C)
Ti1(°C)
Ti2(°C)
ΔT1(°C)
ΔT2(°C)
Média (X)
1166.33
509.73
92.82
656.60
1073.51 21.86
1.34
Desvio Padrão (s)
34.16
30.46
5.39
44.78
35.09 5.81
0.35
X+3s
1268.81
601.12
108.98
790.95
1178.78 39.28
2.40
X-3s
1063.86
418.35
76.66
522.25
968.24 4.45
0.29

(11)

(12)

Figura 8.
Comparativo das temperaturas das faces imediatamente opostas para os blocos com e sem proteção passiva, tipos 3 e 4 respectivamente.

Figura 9.
Comparativo das temperaturas das faces opostas para os blocos com e sem proteção passiva, tipos 3 e 4 respectivamente.

(13)

(14)

(15)

(16)

(17)
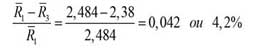
Comparando os valores médios da resistência à compressão, tem-se uma pequena variação de 5%. Entretanto, os valores o valor nulo de variação de capacidade máxima de carga média, não traduz a mesma análise individual referente a resistência definida por norma, já que há uma grande variação nos valores vistos nas Figuras 10 e 11.
Verifica-se que para o nível de significância determinado em 5%, bem como o Fcrit, os valores da resistência são relevantes em função da proteção e não proteção passiva, tornando os dados amostrais distintos.
![]() |
||||
| Figura 10. Comparativo das resistências à compressão para os blocos com e sem proteção passiva, tipos 3 e 4 respectivamente. | ||||
![]() |
||||
| Figura 11. Comparativo da Resistência à Compressão entre Blocos de Referência e Blocos com Proteção Passiva. | ||||
Verifica-se que para o valor de P é inferior ao nível de significância estipulado de 5% (0,05), bem como o valor de F é inferior ao Fcrit. Pode-se afirmar que os valores são distintos e as condições de proteção e sem proteção passiva, tornam as amostras distintas. (Tabela 4)
| Tabela 4. Resumo de Dados (resistência à compressão - tipos 3 e 4) | ||||||||||
| Fonte da variação | SQ | gl | MQ | F | Valor-P | F crítico | ||||
|---|---|---|---|---|---|---|---|---|---|---|
| Entre grupos | 8.03833 | 1 | 8.03833 | 53.794 | 5.50E-08 | 4.19597 | ||||
| Dentro de los grupos | 4.18399 | 28 | 0.14943 | |||||||
Verifica-se que mesmo após 60 minutos de incidência direta da chama nos blocos do tipo 3, os quais possuíam proteção passiva por tinta intumescente, que os valores médios da resistência a compressão bem como da capacidade máxima de carga sofreram pequena variação, abaixo de 5%, quando comparados aos valores obtidos dos blocos de referência, demonstrando, além da excelente eficiência no isolamento térmico, que os parâmetros estruturais dos blocos foram mantidos. Em função dessa pequena variação, realizou-se novamente o teste de análise de variância com o intuito de verificar se as médias eram distintas (Tabela 5).
| Tabela 5. ANOVA (Resistência a Compressão- tipos 1 e 3) | ||||||||||
| Fonte da variação | SQ | gl | MQ | F | valor-P | F crítico | ||||
|---|---|---|---|---|---|---|---|---|---|---|
| Entre grupos | 0,081 | 1 | 0,08112 | 0,24575 | 0,62395 | 4,19597 | ||||
| Dentro dos grupos | 9,242 | 28 | 0,33009 | |||||||
Dessa forma, como o valor de P encontrado (0,624) é bem superior ao nível de significância estipulado que foi de 5% (0,05) ou, analisando de outra forma, como o valor de F (0,245) encontrado é inferior do que o Fcrítico (4,19) então deve-se aceitar a hipótese nula (H0) em que as médias seriam iguais. Portanto, estamos considerando os conjuntos de blocos de referência, que não foram expostos, ao conjunto de blocos protegidos por tintas intumescentes, após 60 minutos de exposição, como idênticos.
Além disso, no que se refere a exigência da NBR 15270 (2005) - Componentes Cerâmicos - Parte 1 - Blocos Cerâmicos para alvenaria de vedação - Terminologia e requisitos, quanto à resistência à compressão mínima para blocos de vedação com furos da horizontal, todos os blocos com proteção passiva (tipo 3) permaneceram atendendo ao requisito normativo, que exige pelo menos 1,5 MPa. Já para os 15 blocos sem a proteção passiva (tipo 4), 11 (onze) blocos tiveram resistência menor do que o exigido pela norma brasileira e 2 (dois) ficaram muito próximos desse valor.
Em termos de custo benefício, pode-se dizer que os materiais retardantes e de proteção passiva foram beneficiados pelo maior emprego e disseminação no Brasil, o que fez com que os custos também caíssem consideravelmente. Hoje em dia é possível realizar o tratamento de tecidos a R$7,00/m² e pinturas intumescentes a R$17,00/m². As madeiras envernizadas, por ser um material mais nobre, de altíssima tecnologia, e ainda por cima produzidas no Reino Unido, apresenta um preço de R$30-35/m². Para o produto utilizado na pesquisa temos um custo de aproximadamente R$45/m².
Considerando que atualmente os revestimentos empregados em projetos novos ou de reforma, chegam a custar até R$350/m² sem muita dificuldade, justifica-se bastante o emprego de retardantes e materiais de proteção passiva. Percentualmente, a proteção passiva de uma edificação completa, incluindo as suas áreas comuns, não passa de 0.3% do seu orçamento total. Se incluímos todos revestimentos internos usados pelos arquitetos e decoração, não irá ultrapassar em média 0,6% do custo do prédio.
4. ConclusÕes
A partir dos resultados obtidos e de suas respectivas análises, conclui-se que a proteção superficial proporcionada pela tinta intumescente apresentou uma redução do gradiente térmico da parede em situação de incêndio e melhor eficiência mecânica após a exposição ao fogo. Os seguintes destaques são apresentados a partir das análises realizadas:
Ao comparar os valores de resistência a compressão e capacidade máxima de carga dos blocos escolhidos como referência (tipos 1 e 2), observou-se uma variação nos valores inferiores a 18%, em termos médios, nas condições não saturadas e saturadas. A temperatura da face diretamente exposta à chama, medida em seu ponto mais desfavorável, foi em média 25% inferior em relação ao bloco com proteção passiva. Após a incidência da chama por 60 minutos e ao analisar as temperaturas das faces imediatamente opostas, encontrou uma diferença superior a 170% nos blocos sem a pintura indicando que há uma redução do gradiente térmico nos blocos com a tinta intumescente. A resistência à compressão e capacidade máxima de carga dos blocos com proteção passiva foram cerca de 70% superiores aos blocos sem proteção, após 60 minutos de exposição direta a chama. Mais de 70% dos blocos sem proteção passiva e que foram expostos a chama tiveram resistência a compressão de 1,35 MPa, valor inferior ao mínimo estipulado pela norma brasileira (1,50 MPa), enquanto 100% dos blocos com proteção tiveram valores de 2,38 MPa, mesmo após 60 minutos de exposição.
5. Agradecimentos
O presente artigo foi realizado com o apoio da Coordenação de Aperfeiçoamento do Pessoal do Ensino Superior - Brasil - (CAPES) - Código de Financiamento 001. Esta pesquisa é de grande relevância para a comunidade científico-acadêmica e não seria possível sem a colaboração de todos os participantes. Somos imensamente gratos a todos direta e indiretamente envolvidos, especialmente a professora Dr. Eliana Cristina Barreto Monteiro e a Universidade Católica de Pernambuco (Unicap).
ReferÊncias
Andreini, M.; Sassu, M. (2011), Mechanical behaviour of full unit masonry panels under fire action. Fire Safety Journal. 46 (7), p. 440- 450. https://doi.org/10.1016/j.firesaf.2011.07.004
Associação brasileira de normas técnicas (2000). NBR 14432: Exigências de resistência ao fogo de elementos construtivos de edificações - Procedimento. Rio de Janeiro.
Associação brasileira de normas técnicas (2005a). NBR 15270-1: Componentes cerâmicos Parte 1: Blocos cerâmicos para alvenaria de vedação - Terminologia e requisitos. Rio de Janeiro.
Associação brasileira de normas técnicas (2005b). NBR 15270-2: Componentes cerâmicos Parte 2: Blocos cerâmicos para alvenaria estrutural - Terminologia e requisitos. Rio de Janeiro.
Associação brasileira de normas técnicas (2005c). NBR 15270-2: Componentes cerâmicos Parte 3: Blocos cerâmicos para alvenaria estrutural e de vedação - Método de ensaio. Rio de Janeiro.
Associação brasileira de normas técnicas (2013a). NBR 15575: Edificações habitacionais - Desempenho Parte 4: Requisitos para os sistemas de vedações verticais internas e externas. Rio de Janeiro.
Associação brasileira de normas técnicas (2013b). NBR 14323: Projeto de estruturas de aço e de estruturas mistas de aço e concreto de edifícios em situação de incêndio. Rio de Janeiro.
Câmara Brasileira da Indústria da Construção (CBIC) (2013), Desempenho de edificações habitacionais: guia orientativo para atendimento à norma ABNT NBR 15575/2013. Gadioli Cipolla Comunicação. Fortaleza. p. 300.
Coelho, A. L. (2010). Incêndios em edifícios (1er. Ed.). Editora Orion. Alfragibe. ISBN: 9789728620165.
Meyer, U. (2006). Extended Application Rules for the fire performance of masonry walls. In: Proceedings Of The 7th International Masonry Conference. London: British Masonry Society.
Nadjai, A. et al. (2006), Compartment Masonry Walls in Fire Situations. Fire Technology, 42 (3): 211-231. https://doi.org/10.1007/s10694-006-7509-6
Nguyen, T. D.; Meftah, F. (2012), Behavior of Clay Hollow-Brick Masonry Walls During Fire: part 1: experimental analysis. Fire Safety Journal, 52: 55-64. https://doi.org/10.1016/j.firesaf.2012.06.001
Freitas, L. (2019). Segurança em boates aumenta após um ano da tragédia em Santa Maria. Disponível em: http://diariodonordeste.verdesmares.com.br/cadernos/cidade/seguranca-em-boates-aumenta-apos-um-anoda-tragedia-em-santa-maria-1.799643. Acesso em: 28 de abril de 2019.
Ono, R. (2007). Parâmetros para garantia da qualidade do projeto de segurança contra incêndio em edifícios altos. Ambiente Construído. Porto Alegre, v. 7, n. 1, p. 97-113.
Seito, A. I. et al. (2008). A Segurança contra Incêndios no Brasil. São Paulo: Projeto Editora. p 496,497.
Thomaz, E.; Helene, P. (2000), Qualidade no projeto e na execução de alvenaria estrutural e de alvenarias de vedação em edifícios. Boletim Técnico da Escola Politécnica da USP, BT/PCC/252. São Paulo: EPUSP, 31 p.