
| Investigación Aplicada | https://doi.org/10.21041/ra.v10i1.417 |
Resistencia al fuego de bloques de albañilería cerámica de sellado utilizando protección de tinta intumescente
Fire resistance of ceramic-masonry sealing blocks using intumescent paint protection Resistência ao fogo de blocos de alvenaria cerâmica de vedação utilizando proteção de tinta intumescente
C. A. S.
Sales1
,
C. F. G.
Nascimento1
,
T. M.
Silva2
,
L. M.
Barreto2
,
P. C.
Lordsleem2
, W. A.
Soares2
, P. Castro-Borges3
, E. C. B.
Monteiro1
2
*
1 Departamento de Engenharia Civil, Universidade Católica de Pernambuco, Recife-PE, Brasil..
2 Departamento de Engenharia Civil, Universidade de Pernambuco, Recife-PE, Brasil..
3 Centro de Investigación y de Estudios Avanzados (CINVESTAV) Unidad Mérida, México..
* Autor de Contato: eliana@poli.br
Recepción: 01 de julio de 2019.
Aceptación: 27 de noviembre de 2019.
Publicación: 30 de diciembre de 2019
| Citar como: Sales, C. A. S., Nascimento, C. F. G., Silva, T. M., Barreto, L. M., Lordsleem Jr., A. C., Soares, W. A. Castro-Borges, P., Monteiro, E. C. B. (2020), "Resistencia al fuego de bloques de albañilería cerámica de sellado utilizando protección de tinta intumescente", Revista ALCONPAT, 10 (1), pp. 53 - 68, DOI: https://doi.org/10.21041/ra.v10i1.417 |
RESUMEN
Se evaluó la eficiencia de la protección superficial de las estructuras de mampostería de sellado con tinta intumescente en relación con la resistencia mecánica y el aislamiento térmico. Se utilizaron sesenta bloques de mampostería de sellado cerámico. La temperatura de la cara directamente expuesta a la llama fue en promedio un 25% menor para el bloque con protección pasiva. La fuerza de compresión de los bloques con protección pasiva fue aproximadamente 70% mayor que la de los bloques sin protección, después de 60 minutos de exposición directa a la llama. Más del 70% de los bloques sin protección pasiva y expuestos a llamas tenían una resistencia a la compresión de 1,35 MPa, mientras que el 100% de los bloques con protección tenían valores de 2,38 MPa, incluso después de 60 minutos de exposición.
Palabras clave:
albañilería,
incendio,
protección pasiva,
pinturas intumescentes,
resistencia
RESUMO
Avaliou-se a eficiência da proteção superficial de estruturas de alvenaria de vedação com tinta intumescente em relação à resistência mecânica e ao isolamento térmico. Foram utilizados 60 blocos cerâmicos de alvenaria de vedação. A temperatura da face diretamente exposta à chama foi em média 25% inferior para o bloco com a proteção passiva. A resistência à compressão dos blocos com proteção passiva foi cerca de 70% superior aos blocos sem proteção, após 60 minutos de exposição direta a chama. Mais de 70% dos blocos sem proteção passiva e que foram expostos a chama tiveram resistência a compressão de 1,35 MPa, enquanto 100% dos blocos com proteção tiveram valores de 2,38 MPa, mesmo após 60 minutos de exposição.
Keywords:
masonry,
fire,
passive protection,
intumescent paints,
resistance
ABSTRACT
The efficiency of surface protection of sealing masonry structures with intumescent ink was evaluated in relation to mechanical resistance and thermal insulation. Sixty ceramic sealing masonry blocks were used. The temperature of the face directly exposed to the flame was on average 25% lower for the block with passive protection. The compressive strength of the blocks with passive protection was about 70% higher than the unprotected blocks, after 60 minutes of direct exposure to the flame. More than 70% of the blocks without passive protection and that were exposed to flame had compressive resistance of 1.35 MPa, while 100% of the blocks with protection had values 2.38 MPa, even after 60 minutes of exposure.
Palavras-chave:
alvenaria,
incêndio,
proteção passiva,
tintas intumescentes,
resistência
1. IntroducciÓn
Los incendios están presentes en la historia de varias ciudades del mundo y, en algunas de ellas, han dado lugar a cambios significativos en el diseño urbano y a las características constructivas de sus edificios que se producen a escala urbana, es decir, llegando a cientos o miles de estructuras que ponen en peligro la vida de miles de personas (FREITAS, 2014).
En Brasil, el conocimiento sobre la seguridad contra incendios en los edificios sólo se convirtió en una cuestión de importancia después de dos grandes tragedias nacionales: los incendios en edificios Andraus (en 1972 con dieciséis muertos) y Joelma (en 1974 con ciento ochenta y nueve muertos) , tanto en la ciudad de Sao Paulo hasta que entró en la agenda para el desarrollo de normas regulatorias para minimizar estos eventos.
Las normas y leyes nacionales de seguridad contra incendios definen que las paredes y los elementos de sellado deben tener un cierto tiempo de resistencia al fuego, que varía con el tipo de ocupación del edificio y con la altura total. Sin embargo, las sugerencias de rendimiento de los materiales ofrecidos por la mayoría de estos códigos se basan generalmente en el conocimiento empírico, y denotan una resistencia al fuego mucho superior cuando se prueban en el laboratorio. Como los bloques cerámicos funcionan bien para disparar, lógicamente se espera que un muro construido con tales bloques también tenga una buena resistencia al fuego.
Según NBR 14432 (2000), se puede definir como la propiedad de un elemento de construcción para resistir la acción contra incendios durante un cierto período de tiempo, manteniendo su seguridad estructural, estanqueidad y aislamiento térmico. La resistencia al fuego a las paredes de un edificio es muy importante para la seguridad contra incendios, ya que, en los incendios que ocurrieron en edificios de gran altura, se encontró que las carreteras de circulación presentaban una gran vulnerabilidad al humo, calor y llamas, lo que dificultó el abandono del edificio y permitió que el fuego se propagara rápidamente (ONO, 2007).
Andreini y Sassu (2011) argumentan que una pared de mampostería porque no producen humo o gases tóxicos, se convierte en una buena alternativa para minimizar la propagación del fuego, proporcionando tanto aislamiento térmico como estabilidad requerida para el edificio. Sin embargo, se encontraron pocos estudios sobre la resistencia al fuego de paredes de mampostería con bloques de cerámica, que sólo implicaban paredes de 14 cm de espesor (THOMAZ y HELENE, 2000).
Nguyen y Meftah (2012) refuerzan que los estudios para determinar las características mecánicas de estos materiales se llevan a cabo en laboratorios, con resultados empíricos que dan como resultado estructuras más caras (NADJAI et al., (2006). La protección pasiva contra incendios consiste en medios de protección incorporados en el edificio y no requiere ningún tipo de activación para su funcionamiento en situación de incendio. Ejemplos de protección pasiva son el control de materiales de acabado y recubrimiento, protección de rutas de escape, compartimentación y aislamiento de riesgos (SEITO et al., 2008).
Por lo tanto, las medidas deben aplicarse en la protección contra incendios y algunas de ellas son las pinturas intumescentes que se desarrollaron hace mucho tiempo -la primera patente es de 1938 y los principios que rigen su rendimiento ya son muy conocidos. Los recubrimientos intumescentes se utilizan ampliamente en la protección de estructuras de acero durante períodos de treinta y sesenta minutos, y su uso durante noventa minutos ha aumentado en algunos países.
Debido a la falta de información técnica ofrecida por la mayoría de los fabricantes de pinturas intumescentes, en relación con la resistencia a la compresión de los bloques cerámicos después de la exposición al fuego, de acuerdo con las regulaciones o información generalmente generalizadas y también debido a las pocas investigaciones científicas encontradas en la literatura, el objetivo de este estudio fue estudiar la resistencia al fuego, con la aplicación de la protección pasiva de la pintura intumescente, en los bloques de mampostería de cerámica sellado, después de la exposición directa a la Llamadas. Por lo tanto, se puede verificar la eficiencia de la protección pasiva en relación con la resistencia mecánica y el aislamiento térmico.
1.1 Factores que influyen en el rendimiento del fuego de los muros de mampostería
El rendimiento del fuego de una pared de mampostería depende de varios factores. En primer lugar, destacamos factores relacionados con el tipo de bloque utilizado en la mampostería, que comprende las características del material utilizado y la geometría de los bloques (THOMAZ; HELENE, 2000). Además del bloque, características constructivas como el tipo de juntas de colocación, recubrimientos y llenado de los filtrados también influyen en la resistencia al fuego (THOMAZ; HELENE, 2000; MEYER, 2006). Por último, Meyer (2006) todavía presenta algunos factores relacionados con la estabilidad estructural de la pared, como el índice delgado de la pared, la carga aplicada y la presencia de excentricidades.
1.2 Protección pasiva
La obtención de condiciones de seguridad contra incendios requiere medios de combate adecuados, con el objetivo de no permitir el colapso estructural del edificio, facilitando el vuelo de los usuarios y garantizando el acercamiento y la entrada en el edificio para acciones de combate (COELHO, 2010).
La protección pasiva es el conjunto de medidas de protección contra incendios incorporadas en la construcción del edificio y, por lo tanto, deben ser previstas por el arquitecto. Su rendimiento contra incendios es independiente de cualquier acción externa (SEITO, et al., 2008).
Los principales medios de protección pasiva son: salidas de emergencia (ubicación, cantidad y diseño), reacción al fuego de materiales de acabado y recubrimiento, resistencia al fuego de los elementos de construcción, control de humos, separación entre edificios.
1.3 Tintas intumescentes
Las pinturas intumescentes se desarrollaron hace mucho tiempo -la primera patente es de 1938- y los principios que rigen su rendimiento ya son muy conocidos. Desde sus inicios, y en particular, durante los últimos veinte años, su uso ha crecido en todos los países. El término intumescente deriva del latín "tumescere", que significa comenzar, expandirse.
La intumescencia se produce por la reacción de los componentes activos bajo la influencia del calor, produciendo una expansión significativa. Estos componentes activos, o intumescentes, a menudo amplían su espesor inicial aplicado cuando se calientan (normalmente más de 60x), produciendo una masa carbonácea que protege cualquier sustrato sobre el que se ha aplicado el recubrimiento.
Los recubrimientos intumescentes tienen los siguientes ingredientes: un catalizador que se descompone bajo el efecto del calor, produciendo un ácido mineral (como el ácido fosfórico). El polifosfato de amonio es el catalizador comúnmente utilizado; un agente carbonizante, como el almidón, que se combina con el ácido mineral, formando una masa carbonácea; un aglutinante, o resina, que se suaviza a una temperatura predeterminada; un agente espumante que se descompone junto con la fusión del aglutinante, liberando grandes volúmenes de gases no inflamables. Estos gases incluyen dióxido de carbono, amoníaco y vapor de agua.
La producción de estos gases promueve la hinchazón (hinchazón) de la masa carbonácea, generando una espuma carbonácea, que expande alrededor de 60x (o más) el volumen original de la pintura, promoviendo la protección térmica. El uso de estos productos corresponde en determinados países a más del 40% del mercado de productos de protección térmica utilizados en edificios de varias plantas.
1.4 Rendimiento estructural en situación de incendio
En una situación de incendio, es necesario minimizar el riesgo de colapso estructural del edificio. Los materiales utilizados en la estructura y las compartimentaciones deben estar de acuerdo con el TRRF - Tiempo requerido de resistencia al fuego, de acuerdo con NBR 14432 (2000). También deben cumplirse normas específicas para el tipo de estructura en cuestión, como 15.575 NBR (2013) y NBR 14323 (2013). Para otra estructura, NBR 15575 (2013) establece que debe obedecerse el Euro código correspondiente.
2. Materiales y mÉtodos
2.1 Materiales y equipos
Se utilizaron sesenta (sesenta) bloques de mampostería de sellado cerámico con 8 orificios y dimensiones horizontales (9 cm x 19 cm x 19 cm x 19 cm) adquiridos en el comercio Recife-PE; Antorcha de gas butano (temperatura de la llama 1200 ºC); Termómetro infrarrojo Marca BENETECH modelo GM300 (Temperatura: -50 ºC a 380 ºC); Termómetro digital Salvterm 1200K (Temperatura: -50 ºC a 1350 ºC) con sensor de superficie con varilla de 6,5 mm de diámetro por 260 mm de longitud; CKC-333 Tinta intumescente®; Rodillo de espuma para la aplicación de tinta intumescente; Equipo de protección personal: máscara, guantes y gafas; Protección de laboratorio: 4 Kg Extintor portátil en polvo químico seco.
2.2 Caracterización de los tipos de especímenes
Los 60 (sesenta) especímenes se distribuyeron en 4 grupos (tipos) de 15 (quince) bloques, los dos primeros grupos se utilizaron como base de referencia para el análisis de la resistencia a la compresión (condición saturada e insaturada). Podemos verificar el organigrama con el resumen de las pruebas, así como los detalles de la ejecución experimental por tipo que se muestra en la Figura 1.
![]() |
||||
| Figura 1. Planificación experimental. | ||||
Es importante señalar que el experimento es una simulación para la comparación y análisis del comportamiento de los bloques de sellado con y sin tinta de protección pasiva, que a pesar de tener NBR 10636/89 como parámetro, la metodología aplicada en el experimento llevado a cabo en esta investigación no está asociada con la norma antes mencionada e ISO 834, por lo que no es posible dar fe del tiempo de resistencia al fuego (TRF) de las muestras de acuerdo con las normas.
Es interesante notar que el tiempo de exposición al fuego establecido para los grupos 3 y 4 fue de 60 minutos debido a las limitaciones de costos de combustible, ya que es el tiempo indicado por el fabricante como tiempo de protección para 2 capas de pintura, así como porque es el doble de la temperatura el mínimo requerido para paredes estructurales de hasta cinco pisos, de acuerdo con el estándar de rendimiento. Es importante mencionar que hay diferencias significativas entre las pruebas para el sistema de sellado, prismas y bloques individualmente, así como que los recubrimientos de este último también influyen en las pruebas.
El análisis se realizará en el bloque de sellado cerámico, sin ningún tipo de revestimiento que no sea la protección de la tinta intumescente (tipo 3). Esta condición, además de simular las condiciones de muchas viviendas de bajos ingresos, también simula la condición más extrema posible del material en caso de incendio.
La aplicación de la llama, así como las mediciones de temperatura se realizaron en el centro geométrico de todas las caras, con el fin de encontrar los valores más altos a los que fueron expuestos, y la lata que contiene el combustible a una distancia de 20 centímetros de los bloques expuestos. La temperatura ambiente media durante los ensayos fue de 33 ºC.
2.2.1 Espécimen tipo 1 (bloque de referencia - insaturado) y espécimen de tipo 2 (bloque de referencia - saturado)
Los 15 (quince) bloques caracterizados como tipo 1 son los utilizados como referencia para el efecto de resistencia a la compresión. No se aplicaron protecciones pasivas ni exposición a ningún tipo de llama para estos bloques, y se almacenó la temperatura ambiente.
Los 15 (quince) bloques caracterizados como tipo 2, a diferencia del modelo anterior fueron probados después de 24 horas de inmersión en agua. Con respecto a la recepción, preparación, envasado de especímenes y procedimientos están de acuerdo con las disposiciones de ABNT NBR 15270-1, ABNT NBR 15270-2, ABNT NBR 15270-3 y se pueden observar en el diagrama siguiente en la Figura 2.
![]() |
||||
| Figura 2. Recibo, preparación y envasado de especímenes. | ||||
2.2.2 Cuerpo de prueba tipo 3 (con aplicación de tinta intumescente y exposición directa a la llama) y cuerpo de prueba tipo 4 (sin aplicación de tinta intumescente y exposición directa a la llama)
En los 15 (quince) bloques denominados tipo 3, se realizaron los procedimientos iniciales de caracterización y preparación (capellán) idénticos a los ya descritos para el tipo 1 (Figura 3) en este tipo de bloque, se aplicaron 2 (dos) capas de tinta intumescentes (Figura 4), como se describe a continuación, además de la exposición de cada bloque a 60 minutos de exposición directa, la llama que se muestra en la Figura 5.
![]() |
||||
| Figura 3. Capeamento de bloques cerámicos. | ||||

Figura 4. Aplicación de tinta intumescente.

Figura 5. Aplicación de tinta intumescente.
Después de la aplicación de los 60 minutos de exposición directa a la llama, se midió la temperatura de la cara que sufrió directamente la aplicación de la llama, la temperatura de la cara inmediatamente opuesta, a través del primer tabique del bloque y la temperatura de la cara del bloque sin aplicación tinta intumescente.
Además de la elevación de las temperaturas para verificar la eficiencia del aislamiento térmico, después de la exposición a la llama, los bloques fueron llevados a la prensa hidráulica con el fin de comprobar la compresión y la carga máxima soportada.
La tinta elegida para la prueba fue la tinta intumescente de la marca CKC-333, que fue seleccionada según la gama de certificaciones internacionales, así como porque era la única marca, entre las disponibles en el mercado nacional, que estaban dispuestas a apoyar esta investigación muestra de reenvío para pruebas
La tinta intumescente CKC-333 es un recubrimiento interno a base de agua acrílica, no tóxica, inodoro, antimolde y antifúngica, que a aproximadamente 200 ºC, inicia un proceso de expansión volumétrica, causando el retraso de las temperaturas elementos de hormigón, mampostería y paneles de yeso.
En los 15 (quince) bloques caracterizados como tipo 4, no se realizaron los procedimientos iniciales de caracterización y preparación (capellán) idénticos a los ya descritos para el tipo 1, pero no se aplicó la protección pasiva mediante tinta intumescente, con 60 minutos de exposición directa a las llamas.
Las temperaturas se midieron después de la aplicación de los 60 minutos de exposición directa a la llama, en los mismos lugares que los bloques de tipo 3, así como, después del levantamiento de temperaturas, los bloques fueron llevados a una prensa hidráulica con el fin de comprobar la resistencia a compresión y carga máxima soportada.
Los bloques de los tipos 3 y 4 fueron sometidos a una hora de incidencia directa a la llama y antes de ser llevados a la prensa hidráulica, para verificar la resistencia a la compresión y la carga máxima soportada (Figura 6), las temperaturas se midieron en las caras donde se midió la llama se centró directamente, en la cara inmediatamente opuesta, a través del primer tabique y en la cara más lejana de la aplicación de la llama. El procedimiento experimental para bloques de tipo 4 fue idéntico al realizado con bloques de tipo 3, sin embargo, estos especímenes no recibieron protección pasiva por tinta intumescente que se muestra en la Figura 7.
![]() |
||||
| Figura 6. Resistencia a la compresión. | ||||

Figura 7.
Bloques sin protección pasiva.
3. Resultados y discursos
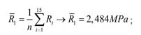
Para determinar la fuerza y la desviación estándar de los bloques de (tipo 1) se utilizaron ecuaciones 1 y 2, respectivamente.

(1)

(2)
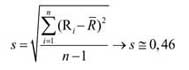
Para determinar la resistencia máxima y mínima teniendo en cuenta los valores calculados previamente para la media y la desviación estándar, se utilizó la Ecuación 3.
Para k = 3
![]()
(3)
Donde k es el coeficiente de variación de tiempo en segundos. Para determinar la desviación estándar y la carga máxima admitida de bloques de tipo 1, se utilizaron las ecuaciones 3 y 4, respectivamente.

(4)
Para k = 3
![]()
(5)
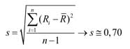
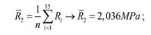
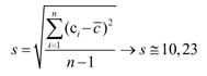
Para determinar la fuerza y la desviación estándar de los bloques de tipo 2, se utilizaron las ecuaciones 1 y 2, respectivamente.


Teniendo en cuenta los valores calculados previamente para la media y la desviación estándar de acuerdo con la Ecuación 3, tiene:
![]()
Para determinar la carga máxima media, se utilizaron la desviación estándar y las cargas máximas y mínimas soportadas por bloques de tipo 2, se utilizaron las ecuaciones 6, 7 y 8, respectivamente.

(6)

(7)
![]()
(8)
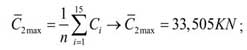
Teniendo en cuenta las tres desviaciones estándar, se observa que todos los valores de resistencia a la compresión y carga máxima soportados de bloques de tipos 1 y 2 deben considerarse como representativos calculados de acuerdo con las ecuaciones 9 y 10 respectivamente. Comparando los valores medios de las resistencias de compresión y las cargas máximas soportadas de los tipos 1 y 2, tiene:

(9)

(10)
El análisis de varianza (ANOVA) se realizó para un solo factor, que para los tipos 1 y 2 se distinguen por la condición saturada o no, a través del análisis del Software MS Excel 2016, donde los datos de resistencia a la compresión dieron lugar a la Cuadro 1.
| Cuadro 1. ANOVA (Tipos de Resistencia 1 y 2). | ||||||||||
| Fuente de variación | SQ | gl | MQ | F | valor-P | F crítico | ||||
|---|---|---|---|---|---|---|---|---|---|---|
| Entre grupos | 1.506 | 1 | 1.50662 | 4.3395 | 0.046486 | 4.19597 | ||||
| Dentro dos grupos | 9.721 | 28 | 0.34719 | |||||||
Se puede verificar que, como el valor P encontrado (0.046) es menor que el nivel de significancia estipulado que era del 5% (0.05) o, analizando lo contrario, como el valor de F (4.33) encontrado es mayor que el Fcritic (4.19) entonces debemos rechazar la hipótesis nula (H0 ) donde los promedios serían los mismos.
Por lo tanto, podemos afirmar que las condiciones saturadas e insaturadas influyen en los resultados obtenidos para la resistencia a la compresión. Realizando la misma comprobación de representatividad de los datos recopilados para los bloques de tipo 3 y 4, encontramos que, para tres desviaciones estándar, todos los datos son significativos mostrados en los Cuadros 2 y 3.
| Cuadro 2. Valores medios y desviaciones estándar para bloques de tipos | ||||||||||
| Datos | TIPO 3 (Con exposición a la llama y protección) | |||||||||
|---|---|---|---|---|---|---|---|---|---|---|
| Temperatura (60' exposición) | Cmax(KN) | R(MPa) | ||||||||
| Td(°C) | Ti1(°C) | Ti2(°C) | ΔT1(°C) | ΔT2(°C) | ||||||
| Promedio (X) | 938.067 | 187.000 | 40.920 | 751.067 | 897.147 | 37.993 | 2.380 | |||
| Desviación estándar (s) | 54.61 | 10.62 | 2.00 | 57.89 | 54.21 | 7.19 | 0.42 | |||
| X+3s | 1101.89 | 218.85 | 46.91 | 924.75 | 1059.79 | 59.55 | 3.64 | |||
| X-3s | 774.25 | 155.15 | 34.93 | 577.39 | 734.50 | 16.44 | 1.12 | |||
Cuadro 3. Valores medios y desviaciones estándar para bloques de tipo 4..
Datos
TIPO 4 (Con exposición a la llama y sins in protección)
Temperatura (60' exposición)
Cmax(KN)
R(MPa)
Td(°C)
Ti1(°C)
Ti2(°C)
ΔT1(°C)
ΔT2(°C)
Promedio (X)
1166.33
509.73
92.82
656.60
1073.51 21.86
1.34
Desviación estándar (s)
34.16
30.46
5.39
44.78
35.09 5.81
0.35
X+3s
1268.81
601.12
108.98
790.95
1178.78 39.28
2.40
X-3s
1063.86
418.35
76.66
522.25
968.24 4.45
0.29
Inicialmente evaluando la temperatura de la cara donde la llama se centró directamente, se verifica que las temperaturas varían aproximadamente 25% en términos promedio de acuerdo con la Ecuación 11.

(11)
Cuando analizamos las caras inmediatamente opuestas a la aplicación de la llama, la variación de temperatura entre los bloques con y sin protección asume valores medios del orden de 172% más alto cuando los bloques no tienen protección pasiva mostrada en la Ecuación 12.

(12)
Las figuras 8 y 9 observaron los resultados del comportamiento de las caras de los bloques cuando se exponen y no se exponen a la llama y cómo la pintura para la protección utilizada influye en este proceso.
![]() |
||||
| Figura 8. Comparación de las temperaturas de las caras inmediatamente opuestas para los bloques con y sin protección pasiva, tipos 3 y 4 respectivamente. | ||||
Esta más mínima diferencia entre las variaciones de temperatura, en el lado lejano debe ocurrir debido al aislamiento térmico natural que el aire entre el septo proporciona al bloque. Se verifica que ninguno de los bloques con protección pasiva alcanzara temperaturas superiores a 46 ºC. A continuación, se utilizó la ecuación 13 para determinar el porcentaje de esta variación.

(13)
Realizar un análisis de varianza para el factor de temperatura de los tipos 3 y 4, teniendo en cuenta las temperaturas de cada cara medida y para todos los grupos de mediciones de temperatura realizadas, el valor P es inferior al nivel de significancia estipulado del 5% (0,05), así como el valor F es menor que Fcrit.
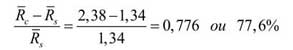
Por lo tanto, se rechaza la hipótesis nula (H0) en la que los promedios serían iguales. Por lo tanto, podemos afirmar que los valores son distintos y las condiciones de protección y sin protección pasiva hacen que las muestras sean distintas. Las ecuaciones 14 y 15 se utilizaron para comparar la resistencia a la compresión y la capacidad máxima de carga entre bloques con y sin protección pasiva.

(14)

(15)
Se verifica que después de la exposición al fuego, durante el período de 60 minutos, los bloques sin protección disminuyeron en promedio el 70% de su resistencia a la compresión y el 67% de su capacidad de carga máxima en comparación con los bloques que tenían protección pasiva. También se pueden comparar los valores de resistencia a la compresión y capacidad de carga entre los bloques protegidos y los bloques de tipo 1 que eran aquellos que tenían valores de resistencia más altos y capacidad de carga, que se eligieron referencia como se muestra en las ecuaciones 16 y 17.

(16)

(17)
Comparando los valores medios de resistencia a la compresión, hay una pequeña variación del 5%. Sin embargo, los valores del valor nulo de la variación de la capacidad de carga media máxima no traducen el mismo análisis individual para la resistencia definida por el estándar, ya que hay una gran variación en los valores vistos en las Figuras 10 y 11.
Se verifica que para el nivel de significancia determinado en el 5%, así como Fcrit, los valores de resistencia son relevantes dependiendo de la protección y la protección no pasiva, haciendo que los datos de la muestra sean distintos.
![]() |
||||
| Figura 10. Fuerza de compresión: comparación entre bloques con y sin protección pasiva (tipos 3 y 4). | ||||
Se verifica que para el valor P es menor que el nivel de significancia estipulado del 5% (0.05), así como el valor de F es menor que el Fcrit. Se puede afirmar que los valores son distintos y las condiciones de protección y sin protección pasiva hacen que las muestras sean distintas (Cuadro 4)
| Cuadro 4. Resumen de datos (fuerza de compresión - tipos 3 y 4) | ||||||||||
| Fuente de variación | SQ | gl | MQ | F | Valor-P | F crítico | ||||
|---|---|---|---|---|---|---|---|---|---|---|
| Entre grupos | 8.03833 | 1 | 8.03833 | 53.794 | 5.50E-08 | 4.19597 | ||||
| Dentro de los grupos | 4.18399 | 28 | 0.14943 | |||||||
Se verificó que incluso después de 60 minutos de incidencia directa de la llama en bloques tipo 3, que tenían protección pasiva por tinta intumescente, que los valores medios de resistencia a la compresión, así como la capacidad máxima de carga variaban, por debajo del 5%, en comparación con los valores obtenidos de los bloques de referencia, demostrando, además de la excelente eficiencia en el aislamiento térmico, que se mantuvieron los parámetros estructurales de los bloques. Debido a esta pequeña variación, la prueba de análisis de varianza se realizó de nuevo con el fin de verificar si los medios eran diferentes. (Cuadro 5)
| Cuadro 5. ANOVA (Fuerza de compresión - tipos 1 y 3) | ||||||||||
| Fuente de variación | SQ | gl | MQ | F | valor-P | F crítico | ||||
|---|---|---|---|---|---|---|---|---|---|---|
| Entre grupos | 0,081 | 1 | 0,08112 | 0,24575 | 0,62395 | 4,19597 | ||||
| Dentro dos grupos | 9,242 | 28 | 0,33009 | |||||||
Por lo tanto, como el valor P encontrado (0.624) es muy superior al nivel de significancia estipulado que era del 5% (0,05) o, analizando lo contrario, cómo el valor de F (0.245) encontrado es menor que el Fcritic (4.19) entonces la hipótesis nula (H0) debe ser aceptada en q promedios sería nado. Por lo tanto, estamos considerando los conjuntos de bloques de referencia, que no han sido expuestos, al conjunto de bloques protegidos por tintas intumescentes, después de 60 minutos de exposición, como idénticos.
Además, con respecto al requisito de NBR 15270 (2005) - Componentes cerámicos - Parte 1 - Bloques cerámicos para el sellado de mampostería - Terminología y requisitos, con respecto a la resistencia a la compresión mínima para bloques de sellado con agujeros horizontales, todos bloques con protección pasiva (tipo 3) seguían cumpliendo con el requisito normativo, que requiere al menos 1,5 MPa. Para los 15 bloques sin protección pasiva (tipo 4), 11 (once) bloques tenían menor resistencia a la requerida por el estándar brasileño y 2 (dos) estaban muy cerca de este valor.
En términos de costo-beneficio, se puede decir que el retraso de los materiales y la protección pasiva se beneficiaron de un mayor empleo y difusión en Brasil, lo que hizo que los costos también disminuyeran considerablemente. Hoy en día es posible llevar a cabo el tratamiento de telas a R$ 7,00/m2 y pinturas intumescentes a R$ 17,00/m2. Maderas barnizadas, porque es un material más noble, de muy alta tecnología, y también producido en el Reino Unido, tiene un precio de R$ 30-35/m2. Para el producto utilizado en la investigación tenemos un costo de aproximadamente R$ 45/m2.
Teniendo en cuenta que actualmente los recubrimientos utilizados en proyectos nuevos o de reforma, cuestan hasta R$ 350/m2 sin mucha dificultad, el uso de retardantes y materiales de protección pasiva está bastante justificado. Por un último lugar, la protección pasiva de un edificio completo, incluidas sus zonas comunes, no es más del 0,3% de su presupuesto total. Si incluimos todos los recubrimientos internos utilizados por los arquitectos y la decoración, no excederá en promedio el 0,6% del costo del edificio.
4. Conclusiones
A partir de los resultados obtenidos y sus respectivos análisis, se concluye que la protección superficial proporcionada por la tinta intumescente mostró una reducción en el gradiente térmico de la pared en una situación de incendio y una mejor eficiencia mecánica después de exposición al fuego. A partir de los análisis realizados se presentan los siguientes aspectos destacados:
Al comparar los valores de resistencia a la compresión y la capacidad máxima de carga de los bloques elegidos como referencia (tipos 1 y 2), se observó una variación en valores inferiores al 18%, en términos medios, en condiciones insaturadas y saturadas. La temperatura de la cara directamente expuesta a la llama, medida en su punto más desfavorable, fue en promedio un 25% inferior a la del bloque con protección pasiva. Después de la incidencia de la llama durante 60 minutos y al analizar las temperaturas de las caras inmediatamente opuestas, se encontró una diferencia mayor que 170% en los bloques sin la pintura que indica que hay una reducción del gradiente térmico en los bloques con la tinta intumescente. La resistencia a la compresión y la capacidad máxima de carga de los bloques con protección pasiva eran aproximadamente un 70% más altas que los bloques sin protección después de 60 minutos de exposición directa a la llama. Más del 70% de los bloques sin protección pasiva y que fueron expuestos la llama tenía resistencia a la compresión de 1,35 MPa, un valor inferior al mínimo estipulado por la norma brasileña (1,50 MPa), mientras que el 100% de los bloques con protección tenían resistencia a 2,38 MPa, incluso después de 60 MPa, incluso después de 60 MPa, incluso después de 60 minutos de exposición.
5. Agradecimientos
Este artículo se llevó a cabo con el apoyo de la Coordinación para la Mejora del Personal de Educación Superior - Brasil - (CAPES) - Código de Financiación 001. Esta investigación es de gran importancia para la comunidad científico-académica y no sería posible sin la colaboración de todos los participantes. Estamos inmensamente agradecidos a todos directa e indirectamente involucrados, especialmente a la Dra. Eliana Cristina Barreto Monteiro y a la Universidad Católica de Pernambuco (Unicap).
Referencias
Andreini, M.; Sassu, M. (2011), Mechanical behaviour of full unit masonry panels under fire action. Fire Safety Journal. 46 (7), p. 440- 450. https://doi.org/10.1016/j.firesaf.2011.07.004
Associação brasileira de normas técnicas (2000). NBR 14432: Exigências de resistência ao fogo de elementos construtivos de edificações - Procedimento. Rio de Janeiro.
Associação brasileira de normas técnicas (2005a). NBR 15270-1: Componentes cerâmicos Parte 1: Blocos cerâmicos para alvenaria de vedação - Terminologia e requisitos. Rio de Janeiro.
Associação brasileira de normas técnicas (2005b). NBR 15270-2: Componentes cerâmicos Parte 2: Blocos cerâmicos para alvenaria estrutural - Terminologia e requisitos. Rio de Janeiro.
Associação brasileira de normas técnicas (2005c). NBR 15270-2: Componentes cerâmicos Parte 3: Blocos cerâmicos para alvenaria estrutural e de vedação - Método de ensaio. Rio de Janeiro.
Associação brasileira de normas técnicas (2013a). NBR 15575: Edificações habitacionais - Desempenho Parte 4: Requisitos para os sistemas de vedações verticais internas e externas. Rio de Janeiro.
Associação brasileira de normas técnicas (2013b). NBR 14323: Projeto de estruturas de aço e de estruturas mistas de aço e concreto de edifícios em situação de incêndio. Rio de Janeiro.
Câmara Brasileira da Indústria da Construção (CBIC) (2013), Desempenho de edificações habitacionais: guia orientativo para atendimento à norma ABNT NBR 15575/2013. Gadioli Cipolla Comunicação. Fortaleza. p. 300.
Coelho, A. L. (2010). Incêndios em edifícios (1er. Ed.). Editora Orion. Alfragibe. ISBN: 9789728620165.
Meyer, U. (2006). Extended Application Rules for the fire performance of masonry walls. In: Proceedings Of The 7th International Masonry Conference. London: British Masonry Society.
Nadjai, A. et al. (2006), Compartment Masonry Walls in Fire Situations. Fire Technology, 42 (3): 211-231. https://doi.org/10.1007/s10694-006-7509-6
Nguyen, T. D.; Meftah, F. (2012), Behavior of Clay Hollow-Brick Masonry Walls During Fire: part 1: experimental analysis. Fire Safety Journal, 52: 55-64. https://doi.org/10.1016/j.firesaf.2012.06.001
Freitas, L. (2019). Segurança em boates aumenta após um ano da tragédia em Santa Maria. Disponível em: http://diariodonordeste.verdesmares.com.br/cadernos/cidade/seguranca-em-boates-aumenta-apos-um-anoda-tragedia-em-santa-maria-1.799643. Acesso em: 28 de abril de 2019.
Ono, R. (2007). Parâmetros para garantia da qualidade do projeto de segurança contra incêndio em edifícios altos. Ambiente Construído. Porto Alegre, v. 7, n. 1, p. 97-113.
Seito, A. I. et al. (2008). A Segurança contra Incêndios no Brasil. São Paulo: Projeto Editora. p 496,497.
Thomaz, E.; Helene, P. (2000), Qualidade no projeto e na execução de alvenaria estrutural e de alvenarias de vedação em edifícios. Boletim Técnico da Escola Politécnica da USP, BT/PCC/252. São Paulo: EPUSP, 31 p.