
| Investigación Básica | https://doi.org/10.21041/ra.v10i3.432 |
Un modelo analítico para el diseño de zapatas combinadas de esquina
An analytical model for the design of corner combined footings
Um modelo analítico para projeto de sapata de canto combinadas
A.
Luévanos Rojas1
*
,
S.
López Chavarría1
,
M.
Medina Elizondo1
,
R.
Sandoval Rivas1
,
O. M.
Farías Montemayor1
,
1 Instituto de Investigaciones Multidisciplinarias, Universidad Autónoma de Coahuila, Torreón, Coahuila, México. .
*Autor de Contacto: arnulfol_2007@hotmail.com
Recepción: 24 de agosto de 2019.
Aceptación: 06 de abril de 2020.
Publicación: 01 de septiembre de 2020.
| Citar como: Luévanos Rojas, A., López Chavarría, S., Medina Elizondo, M., Sandoval Rivas, R., Farías Montemayor, O. M. (2020), "Un modelo analítico para el diseño de zapatas combinadas de esquina", Revista ALCONPAT, 10 (3), pp. 317 – 335, DOI: https://doi.org/10.21041/ra.v10i3.432 |
Resumen
Este trabajo muestra un modelo analítico para el diseño de zapatas combinadas de esquina sometidas a una carga axial y dos momentos flexionantes ortogonales por cada columna. El modelo toma en cuenta la presión real del suelo debajo de la zapata, y la metodología se basa en el principio de que la integración de la fuerza de corte es el momento. El diseño actual considera la presión máxima en todos los puntos de contacto. Este modelo se verifica por equilibrio de fuerzas de corte y momentos. La aplicación del modelo se presenta por medio de un ejemplo numérico. Por lo tanto, el modelo propuesto es el más apropiado, ya que genera un mejor control de calidad en los recursos utilizados.
Palabras clave:
zapatas combinadas de esquina,
modelo analítico para diseño,
momentos flexionantes,
cortante por flexión,
cortante por penetración.
Abstract
This work shows an analytical model for the design of corner combined footings subjected to an axial load and two orthogonal flexural moments per each column. It considers the real pressure on the ground below of the footing, and the methodology is based on the principle that the integration of the shear force is the moment. The current design considers the maximum pressure at all contact points. This model is verified by equilibrium of shear forces and moments. The application of the model is presented by means of a numerical example. Therefore, the proposed model is the most appropriated, because it generates better quality control in the resources used.
Keywords:
corner combined footings,
analytical model for design,
flexural moments,
flexural shearing,
punching shearing.
Resumo
Este trabalho apresenta um modelo analítico para o dimensionamento de sapatas angulares combinadas submetidas a uma carga axial e dois momentos fletores ortogonais para cada pilar que leva em consideração a pressão real do solo sob a sapata, e a metodologia é baseada no princípio de que a integração da força cortante é o momento. O projeto atual considera a pressão máxima em todos os pontos de contato. Este modelo é verificado pelo equilíbrio das forças de cisalhamento e momentos. A aplicação do modelo é apresentada por meio de um exemplo numérico. Portanto, o modelo proposto é o mais adequado, pois gera um melhor controle de qualidade dos recursos utilizados.
Palavras-chave:
sapatas combinadas de canto,
modelo analítico para projeto,
momentos de flexão,
cisalhamento por flexão,
cisalhamento por punção.
1. IntroducciÓn
Una cimentación o más comúnmente llamada base que es el elemento de una estructura arquitectónica que la conecta al suelo, y que transfiere las cargas de la estructura al suelo. Las cimentaciones se dividen en dos tipos, como poco profundas y profundas (Bowles, 2001; Das et al., 2006).
Los tipos de cimentaciones poco profundos para las columnas son de cinco tipos principales: 1) zapatas corridas; 2) zapatas aisladas; 3) zapatas combinadas que soportan dos o más columnas; 4) zapatas de correa o voladizo; 5) losas de cimentación o balsas que cubren toda el área de la cimentación (Bowles, 2001).
Una zapata combinada es necesaria para soportar una columna que se localiza muy cerca del borde de una línea de propiedad para no invadir la propiedad adyacente. La zapata combinada puede ser una losa de espesor uniforme o una viga en T invertida. Si el tipo de losa de la zapata combinada se usa para soportar dos o más columnas (generalmente dos), la losa debe tener una forma rectangular, trapezoidal o en forma de T cuando una columna está más cargada que la otra (Kurian, 2005; Punmia et al., 2007; Varghese, 2009).
La presión del suelo debajo de una zapata depende del tipo de suelo, la rigidez relativa del suelo y la zapata, y la profundidad de la cimentación al nivel de contacto entre la zapata y el suelo.
La Figura 1 muestra la distribución de presión del suelo debajo de la zapata según el tipo de suelo y la rigidez de la zapata (Bowles, 2001).

Figura 1.
Presión debajo de la zapata
Los estudios sobre estructuras de cimientos y modelos matemáticos para zapatas se han investigado con éxito en varios problemas de ingeniería geotécnica. Las principales contribuciones de varios investigadores en la última década son: “Comportamiento de zapatas rectangulares cargadas repetidamente sobre arena reforzada” (El Sawwaf y Nazir, 2010); “Vibración no lineal de placas compuestas híbridas sobre cimentaciones elásticas” (Chen et al., 2011); “Tablas de diseño estocástico para la capacidad de carga de zapatas” (Shahin y Cheung, 2011); “Optimización modificada del enjambre de partículas para un diseño óptimo de zapata extendida y muro de contención” (Khajehzadeh et al., 2011); “Diseño de zapatas aisladas de forma rectangular utilizando un nuevo modelo” (Luévanos-Rojas et al., 2013); “Diseño de zapatas aisladas de forma circular utilizando un nuevo modelo” (Luévanos-Rojas, 2014a); “Diseño de zapatas combinadas de lindero de forma rectangular utilizando un nuevo modelo” (Luévanos-Rojas, 2014b); “Determinación de los estados límite últimos de cimientos superficiales utilizando el enfoque de programación de expresión génica (GEP)” (Tahmasebi poor et al., 2015); “Diseño de zapatas combinadas de lindero de forma trapezoidal utilizando un nuevo modelo” (Luévanos-Rojas, 2015); “Nuevo método iterativo para calcular el esfuerzo en la base de zapatas bajo flexión biaxial” (Aydogdu, 2016); “Un estudio comparativo para el diseño de zapatas aisladas rectangulares y circulares utilizando nuevos modelos” (Luévanos-Rojas, 2016a); “Influencia de la rigidez de las zapatas en la resistencia al punzonamiento” (Fillo et al., 2016); “Un nuevo modelo para el diseño de zapatas combinadas rectangulares de lindero con dos lados opuestos restringidos” (Luévanos-Rojas, 2016b); “Diseño estructural de zapatas de columna aisladas” (Abdrabbo et al., 2016); “Diseño óptimo para zapatas rectangulares aisladas utilizando la presión real del suelo” (Luévanos-Rojas et al., 2017a); “Análisis de elemento finito y experimental de zapatas de diferentes formas sobre arena” (Anil et al., 2017); “Un estudio comparativo para el diseño de zapatas combinadas de formas trapezoidales y rectangulares utilizando nuevos modelos” (Luévanos-Rojas et al., 2017b); “Rendimiento de zapatas aisladas y plegadas” (El-kady y Badrawi, 2017); “Análisis y diseño de varios tipos de zapatas aisladas” (Balachandar y Narendra Prasad, 2017); “Un nuevo modelo para zapatas combinadas en forma de T Parte II: Modelo matemático para el diseño” (Luévanos-Rojas et al., 2018); “Resistencia al corte por punzonamiento de zapatas de concreto armado: evaluación del código de diseño” (Santos et al., 2018); “Efecto de los cimientos del suelo sobre la respuesta a la vibración de los cimientos de concreto usando un modelo matemático” (Dezhkam y Yaghfoori, 2018); “Análisis de no linealidad en el estudio de cimientos de rejillas poco profundas” (Ibrahim et al., 2018); “Modelado para la zapata combinada zapatas Parte II: modelo matemático para el diseño” (Yáñez-Palafox et al., 2019); “Método numérico para el análisis y diseño de zapata aislada cuadrada bajo carga concéntrica” (Magade e Ingle, 2019).
El documento relacionado con este trabajo es: “El dimensionamiento óptimo para las zapatas combinadas de esquina” para obtener únicamente el área mínima de la superficie de contacto en planta entre el suelo y la zapata (López-Chavarría et al., 2017), pero este trabajo no presenta el diseño de zapatas combinadas de esquina (peralte efectivo y acero de refuerzo).
Este documento muestra un modelo analítico para el diseño de zapatas combinadas de esquina sometidas a una carga axial y dos momentos flexionantes ortogonales por cada columna, y la presión del suelo sobre la zapata se presenta en función de los efectos generados por cada columna, y la metodología se basa en el principio de que la integración de la fuerza de corte es el momento. El diseño actual considera la presión máxima en todos los puntos de contacto, porque el centro de gravedad de la zapata se obliga a que coincida con la posición de la fuerza resultante de las cargas. Este modelo se verifica por equilibrio de fuerzas de corte y momentos. La principal ventaja del modelo propuesto es presentar el momento, el cortante por flexión y el cortante por punzonamiento mediante ecuaciones analíticas. Por lo tanto, el modelo propuesto será el más apropiado, ya que genera un mejor control de calidad en los recursos utilizados (mano de obra, materiales, equipo menor, etc), porque se ajusta a las condiciones de la presión real del suelo.
2. Formulacion del modelo propuesto
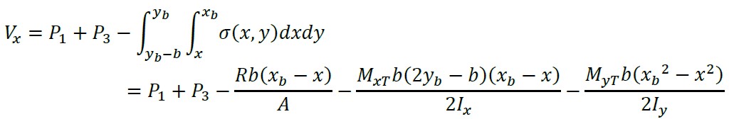
Las secciones críticas para zapatas de acuerdo al código (ACI 318S-14, 2014) son: 1) El momento se localiza en la cara de la columna; 2) El cortante por flexión se localiza a una distancia “d” a partir de la cara de la columna; 3) El cortante por punzonamiento se presenta a una distancia de “d/2” en las dos direcciones.
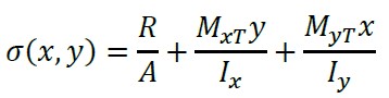
La carga axial y dos momentos flexionantes ortogonales (flexión biaxial) de cada columna aplicados sobre la zapata combinada de esquina se muestra en la Figura 2(a). La presión debajo de la zapata combinada de esquina que varía linealmente, y el esfuerzo en cada vértice de la zapata se presenta en la Figura 2(b).

Figura 2.
Zapata combinada de esquina
Los esfuerzos en la dirección principal (ejes “X” e “Y”) se obtienen:

(1)
donde: R, M xT , M yT , A, I x , e I y se muestran en (López-Chavarría et al., 2017).
Los esfuerzos debajo de la columna 2 (ejes “X 2” e “Y 2”) se encuentran (ver Figura 3):

(2)
Los esfuerzos debajo de la columna 3 (ejes “X 3” e “Y 3”) se obtienen (ver Figura 3):

(3)
donde: w 2 y w 3 son los anchos de la superficie de análisis en las columnas 2 y 3: w 2 = c 2 + d, w 3 = c 4 + d.
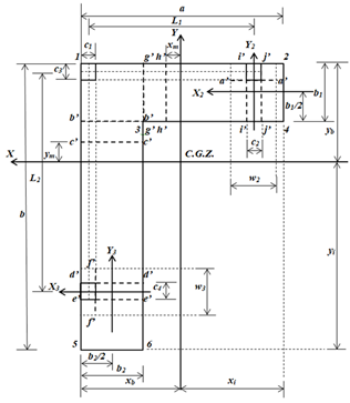
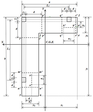
2.1 Cortantes por flexión y momentos flexionantes
Las secciones críticas para momentos flexionantes se presentan sobre los ejes: a’-a’, b’-b’, c’-c’, d’-d’, e’-e’, f’-f’, g’-g’, h’-h’, i’-i’ y j’-j’ (ver Figura 3). Las secciones críticas para cortantes por flexión se presentan sobre los ejes: k’-k’, l’-l’, m’-m’, n’-n’, o’-o’, p’-p’, q’-q’ y r’-r’ (ver Figura 4).

Figura 3. Secciones críticas para momentos flexionantes

Figura 4. Secciones críticas para cortantes por flexión
Nota: Cuando los momentos alrededor del eje X se obtienen, los momentos alrededor del eje Y se consideran igual a cero. Cuando los momentos alrededor del eje Y se obtienen los momentos alrededor del eje X no influyen. Porque estos son ejes perpendiculares entre ellos.
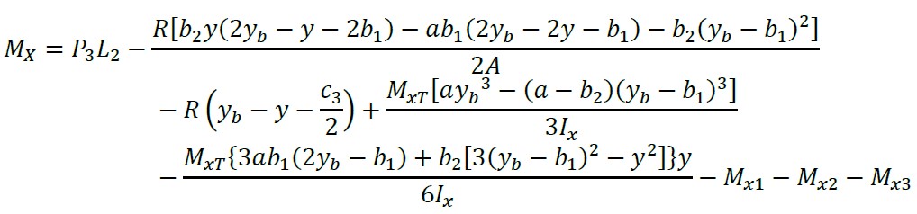
2.1.1 Cortantes por flexión y momentos sobre un eje paralelo al eje “X2” de - b1/2 ≤ y2 ≤ b1/2 - c3/2
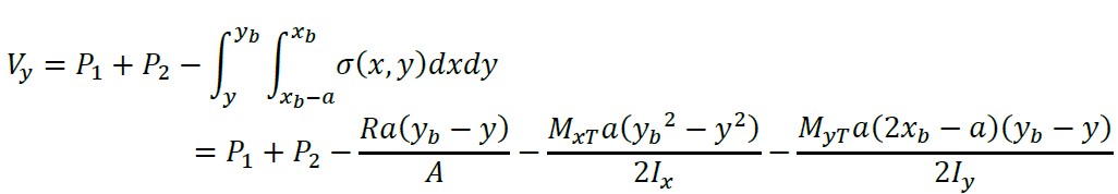
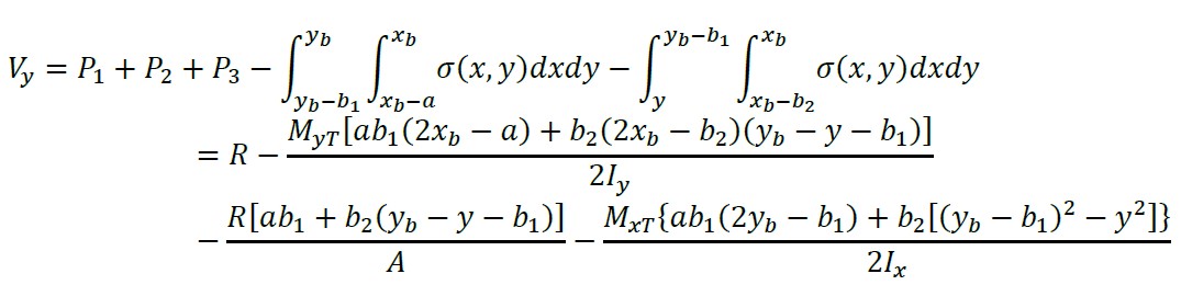
La fuerza de corte “V y2 ” se encuentra a través del volumen de presión del área formada por el eje “X 2” con un ancho “w 2 = c 2 + d” y el extremo libre (lado interno) de la zapata:

(4)
Por integración de la ecuación (4) con respecto a “y 2” se obtiene:

(5)
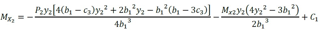
donde: M X2 es el momento alrededor del eje “X 2” y V y2 es la fuerza de corte a una distancia “y 2”.
Ahora, sustituyendo “y 2 = − b 1/2” y “M X2 = 0” en la ecuación (5) y la constante “C 1” es:

(6)
Sustituyendo la ecuación (6) en la ecuación (5) y la ecuación de momentos generalizados se presenta como sigue:

(7)
2.1.2 Cortantes por flexión y momentos sobre un eje paralelo al eje “X” de yb - c3/2 ≤ y ≤ yb
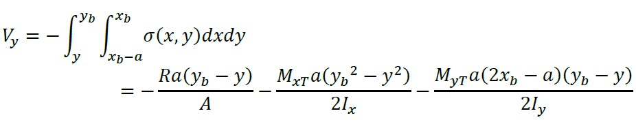
La fuerza de corte “V y ” se encuentra a través del volumen de presión del área formada por el eje “X” con un ancho “a” y el extremo libre (lado superior) de la zapata:

(8)
Por integración de la ecuación (8) con respecto a “y” se obtiene:

(9)
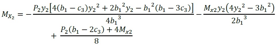
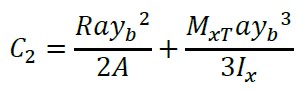
donde: M X es el momento alrededor del eje “X” y V y es la fuerza de corte a una distancia “y”.
Ahora, sustituyendo “y = y b ” y “M X = 0” en la ecuación (9) y la constante “C 2” es:

(10)
Sustituyendo la ecuación (10) en la ecuación (9) y la ecuación de momentos generalizados se presenta como sigue:

(11)
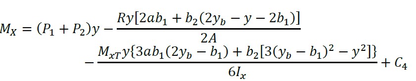
Sustituyendo “y = y b − c 3/2” en la ecuación (11) para obtener el momento alrededor del eje ubicado en el centro de la columna 1 y 2 “M c3/2 ”:

(12)
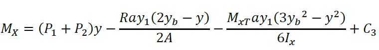
2.1.3 Cortantes por flexión y momentos sobre un eje paralelo al eje “X” de yb - b1 ≤ y ≤ yb - c3/2
La fuerza de corte “V y ” se encuentra a través del volumen de presión del área formada por el eje “X” con un ancho “a” y el lado superior de la zapata:

(13)
Por integración de la ecuación (13) con respecto a “y” se obtiene:

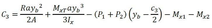
(14)
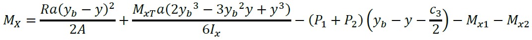
Ahora, sustituyendo “y = y b - c 3/2” y “M X = M c3/2 - M x1 - M x2 ” en la ecuación (14) y la constante “C 3” es:

(15)
Sustituyendo la ecuación (15) en la ecuación (14) y la ecuación de momentos generalizados se presenta como sigue:

(16)
Sustituyendo “y = y b - b 1” en la ecuación (16) para obtener el momento alrededor del eje b’-b’ “M b1 ”:

(17)
2.1.4 Cortantes por flexión y momentos sobre un eje paralelo al eje “X” de yb - L2 - c3/2 ≤ y ≤ yb - b1
La fuerza de corte “V y ” se encuentra a través del volumen de presión del área formada por el eje “X” y el lado superior de la zapata:

(18)
Por integración de la ecuación (18) con respecto a “y” se obtiene:

(19)
Ahora, sustituyendo “y = yb - b1” y “M X = M b1 ” en la ecuación (19) y la constante “C4” es:

(20)
Sustituyendo la ecuación (20) en la ecuación (19) y la ecuación de momentos generalizados se presenta como sigue:

(21)
Sustituyendo “y = y b - L 2 - c 3/2” en la ecuación (21) para obtener el momento alrededor del eje localizado en el centro de la columna 3 “M L2 ”:

(22)
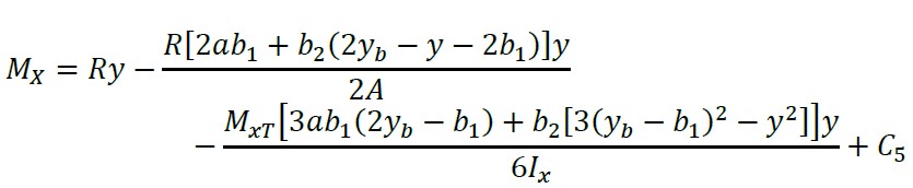
2.1.5 Cortantes por flexión y momentos sobre un eje paralelo al eje “X” de yb - b ≤ y ≤ yb - L2 - c3/2
La fuerza de corte “V y ” se encuentra a través del volumen de presión del área formada por el eje “X” y el lado superior de la zapata:

(23)
Por integración de la ecuación (23) se obtiene:

(24)
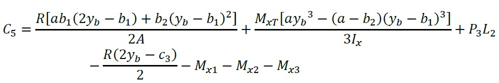
Ahora, sustituyendo “y = y b - L 2 - c 3/2” y “M X = M L2 - M x3 ” y la constante “C5” es:

(25)
Sustituyendo la ecuación (25) en la ecuación (24) y la ecuación de momentos flexionantes generalizados se presenta como sigue:

(26)
En los siguientes apartados para obtener las ecuaciones de los cortantes por flexión y los momentos generalizados se emplea el mismo procedimiento usado anteriormente. Por lo tanto, las ecuaciones de los cortantes por flexión y los momentos generalizados se muestran a continuación.
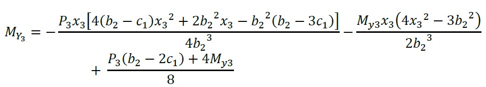
2.1.6 Cortantes por flexión y momentos sobre un eje paralelo al eje “Y3” de - b2/2 ≤ x3 ≤ b2/2 - c1/2

(27)

(28)
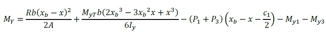
2.1.7 Cortantes por flexión y momentos sobre un eje paralelo al eje “Y” de xb - c1/2 ≤ x ≤ xb

(29)

(30)
2.1.8 Cortantes por flexión y momentos sobre un eje paralelo al eje “Y” de xb - b2 ≤ x ≤ xb - c1/2

(31)

(32)
2.1.9 Cortantes por flexión y momentos sobre un eje paralelo al eje “Y” de xb - L1 - c1/2 ≤ x ≤ xb - b2

(33)

(34)
2.1.10 Cortantes por flexión y momentos sobre un eje paralelo al eje “Y” de xb - a ≤ x ≤ xb - L1 - c1/2

(35)

(36)
2.2 Cortantes por penetración o punzonamiento
Las secciones críticas para cortantes por penetración se muestran en la Figura 5.
2.2.1 Cortantes por penetración para la columna de esquina (columna 1)
La sección crítica para la columna 1 se presenta en el perímetro formado por los puntos 1, 7, 8 y 9 de la zapata (ver Figura 5). El cortante por penetración se obtiene por la carga axial de la columna 1 menos el volumen de presión del área delimitada por los puntos 1, 7, 8 y 9:

(37)

Figura 5. Secciones críticas para cortantes por penetración
2.2.2 Cortantes por penetración para la columna de un límite (columna 2)
La sección crítica para la columna 2 se presenta en el perímetro formado por los puntos 10, 11, 12 y 13 de la zapata (ver Figura 5). El cortante por penetración se obtiene por la carga axial de la columna 2 menos el volumen de presión del área delimitada por los puntos 10, 11, 12 y 13:

(38)
Nota: cuando d/2 ≤ a - L 1 - (c 1 + c 2)/2 → t = d/2, y cuando d/2 > a - L 1 - (c 1 + c 2)/2 → t = a - L 1 - (c 1 + c 2)/2.
2.2.3 Cortantes por penetración para la columna de un límite (columna 3)
La sección crítica para la columna 3 se presenta en el perímetro formado por los puntos 14, 15, 16 y 17 de la zapata (ver Figura 5). El cortante por penetración se obtiene por la carga axial de la columna 3 menos el volumen de presión del área delimitada por los puntos 14, 15, 16 y 17:

(39)
Nota: cuando d/2 ≤ b - L 2 - (c 3 + c 4)/2 → s = d/2, y cuando d/2 > b - L 2 - (c 3 + c 4)/2 → t = b - L 2 - (c 3 + c 4)/2.
3. Verificación del modelo propuesto
El modelo propuesto en este documento se verifica como sigue:
1.- Para los momentos flexionantes sobre los ejes X2 y X: Cuando se sustituye “y 2 = − b 1/2” en la ecuación (7) se obtiene M X2 = 0, si se sustituye “y = y b” en la ecuación (11) se obtiene M X = 0, y sustituyendo “y = y b − b” en la ecuación (26) se obtiene M X = 0. Por lo tanto, las ecuaciones para los momentos flexionantes sobre los ejes X2 y X cumplen con el equilibrio.
2.- Para los momentos flexionantes sobre los ejes Y3 e Y: Cuando se sustituye “x 3 = − b 2/2” en la ecuación (28) se obtiene M Y3 = 0, si se sustituye “x = x b” en la ecuación (30) se obtiene M Y = 0, y sustituyendo “x = x b − a” en la ecuación (36) se obtiene M Y = 0. Por lo tanto las ecuaciones para los momentos flexionantes sobre los ejes Y3 e Y cumplen con el equilibrio.
3.- Para los cortantes por flexión sobre los ejes X2 y X: Cuando se sustituye “y 2 = − b 1/2” en la ecuación (4) se obtiene V y2 = 0, si se sustituye “y = y b” en la ecuación (8) se obtiene V y = 0, y sustituyendo “y = y b − b” en la ecuación (23) se obtiene V y = 0. Por lo tanto las ecuaciones para los cortantes por flexión sobre los ejes X2 y X cumplen con el equilibrio.
4.- Para los momentos flexionantes sobre los ejes Y3 e Y: Cuando se sustituye “x 3 = − b 2/2” en la ecuación (27) se obtiene V x3 = 0, si se sustituye “x = x b” en la ecuación (29) se obtiene V x = 0, y sustituyendo “x = x b − a” en la ecuación (35) se obtiene V x = 0. Por lo tanto, las ecuaciones para los cortantes por flexión sobre los ejes Y3 e Y cumplen con el equilibrio.
4. AplicaciÓn del modelo propuesto
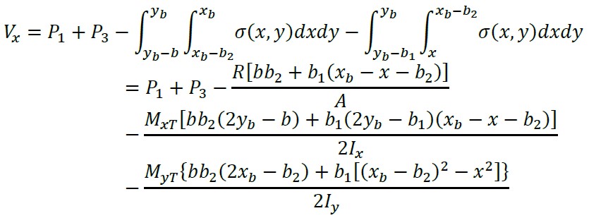
El diseño de una zapata combinada de esquina que soporta tres columnas cuadradas se muestra a continuación con la siguiente información: las tres columnas son de 40x40 cm, L 1 = 5.00 m, L 2 = 5.00 m, H (profundidad de la zapata) = 2.0 m, P D1 = 300 kN, P L1 = 200 kN, M Dx1 = 80 kN-m, M Lx1 = 70 kN-m, M Dy1 = 120 kN-m, M Ly1 = 80 kN-m, P D2 = 600 kN, P L2 = 400 kN, M Dx2 = 160 kN-m, M Lx2 = 140 kN-m, M Dy2 = 120 kN-m, M Ly2 = 80 kN-m, P D3 = 500 kN, P L3 = 400 kN, M Dx3 = 120 kN-m, M Lx3 = 80 kN-m, M Dy3 = 150 kN-m, M Ly3 = 100 kN-m, f’ c = 28 MPa, f y = 420 MPa, q a = 252 kN/m 2 , γ c (densidad del concreto) = 24 kN/m 3 , γ s (densidad de relleno del suelo) = 15 kN/m 3 .
Las cargas y momentos que actúan sobre la zapata combinada de esquina son: P 1 = 500 kN-m, M x1 = 150 kN-m, M y1 = 200 kN-m, P 2 = 1000 kN, M x2 = 300 kN-m, M y2 = 200 kN-m, P 3 = 900 kN, M x3 = 200 kN-m, M y3 = 250 kN-m.
La capacidad de carga disponible del suelo se supone que es de σ máx = 213.00 kN/m 2, porque a la capacidad de carga del suelo “q a ” se le resta el peso propio de la zapata (γ c por el espesor de la zapata), y el peso propio del relleno del suelo (γ s por el espesor del relleno).
Sustituyendo “σ máx , L 1 , L 2 , P 1 , M x1 , M y1 , P 2 , M x2 , M y2 , P 3 , M x3 , M y3 ” en las ecuaciones (30) a (42) del trabajo (López-Chavarría et al. 2017), y la solución por el software MAPLE-15 se obtiene: A min = 11.31 m 2 , M xT = − 8.65 kN-m, M yT = 9.49 kN-m, R = 2400 kN, a = 6.36 m, b = 5.95 m, b 1 = 1.00 m, b 2 = 1.00 m, σ 1 = 211.31 kN/m 2 , σ 2 = 212.75 kN/m 2 , σ 3 = 211.78 kN/m 2 , σ 4 = 213.00 kN/m 2 , σ 5 = 212.77 kN/m 2 , σ 6 = 213.00 kN/m 2 .
Las dimensiones prácticas de la zapata combinada de esquina que soporta tres columnas cuadradas son: a = 6.40 m, b = 6.00 m, b 1 = 1.00 m, b 2 = 1.00 m. Ahora, las dimensiones prácticas para verificar los esfuerzos se sustituyen en el mismo software MAPLE-15, y la solución es: A min = 11.40 m 2 , M xT = 27.89 kN-m, M yT = 7.89 kN-m, R = 2400 kN, a = 6.40 m, b = 6.00 m, b 1 = 1.00 m, b 2 = 1.00 m, σ 1 = 212.30 kN/m 2 , σ 2 = 211.11 kN/m 2 , σ 3 = 211.34 kN/m 2 , σ 4 = 210.34 kN/m 2 , σ 5 = 207.68 kN/m 2 , σ 6 = 207.49 kN/m 2 .
Las propiedades geométricas de la zapata son: x b = 2.02 m, y b = 1.82 m, I x = 36.21 m 4, I y = 42.73 m 4.
Las cargas y momentos factorizados que actúan sobre la zapata son: P u1 = 680 kN, M ux1 = 208 kN-m, M uy1 = 272 kN-m, P u2 = 1360 kN, M ux2 = 416 kN-m, M uy2 = 272 kN-m, P u3 = 1240 kN, M ux3 = 272 kN-m, M uy3 = 340 kN-m. Las cargas y momentos resultantes factorizados por las ecuaciones (31) a (33) (López-Chavarría et al., 2017) se obtienen: R u = 3280 kN, M uxT = − 4.21 kN-m, M uyT = 39.79 kN-m.
El momento sobre el eje a’-a’ por la ecuación (7) se obtiene “M a’ = 289.15 kN-m” en y 2 = b 1/2 - c 3. El momento sobre el eje b’-b’ por la ecuación (16) se obtiene “M b’ = − 1335.85 kN-m” en y = y b - b 1. Ahora, sustituyendo los valores correspondientes en la ecuación (21) y derivando con respecto a “y”, esta se igual a cero para obtener la ubicación del momento máximo “y m = 0.12 m”, posteriormente se sustituye en la ecuación (21), y el momento es “M c’ = − 1405.08 kN-m”. El momento sobre el eje d’-d’ por la ecuación (21) se obtiene “M d’ = 168.08 kN-m” en y = y b - L 2 - c 3/2 + c 4/2. El momento sobre el eje e’-e’ por la ecuación (26) se obtiene “M e’ = 51.87 kN-m” en y = y b - L 2 - c 3/2 - c 4/2.
El momento sobre el eje f’-f’ por la ecuación (28) se obtiene “M f’ = 238.18 kN-m” en x 3 = b 2/2 - c 1. El momento sobre el eje g’-g’ por la ecuación (32) se obtiene “M g’ = − 1280.14 kN-m” en x = x b - b 2. Ahora, sustituyendo los valores correspondientes en la ecuación (34) y derivando con respecto a “x”, esta se igual a cero para obtener la ubicación del momento máximo “x m = 0.37 m”, posteriormente se sustituye en la ecuación (34), y el momento es “M h’ = − 1339.60 kN-m”. El momento sobre el eje i’-i’ por la ecuación (34) se obtiene “M i’ = 278.39 kN-m” en x = x b - L 1 - c 1/2 + c 2/2. El momento sobre el eje j’-j’ por la ecuación (36) se obtiene “M j’ = 141.97 kN-m” en x = x b - L 1 - c 1/2 - c 2/2.
El peralte efectivo debajo de la columna 2 es: 18.33 cm. El peralte efectivo para el momento máximo “M c’ ” es: 46.42 cm. El peralte efectivo debajo de la columna 3 es: 16.63 cm. El peralte efectivo para el momento máximo “M h’ ” es: 45.32 cm. El peralte efectivo después de realizar varias propuestas es: d = 92.00 cm, r = 8.00 cm y t = 100 cm.
La Tabla 1 muestra los cortantes por flexión que actúan sobre la zapata y los resistidos por el concreto de acuerdo al código (ACI 318S-14).
Tabla 1. Cortantes por flexión.
Ejes
Coordenadas
Ancho de análisis cm
Cortantes por flexión
Actuantes kN
Resistidos kN
k'
y2 = b1/2 – c3 – d
132
0*
928.56
l'
y = yb – c3 – d
100
114.14
703.45
m'
y = yb – c3/2 – L2 + c4/2 + d
100
– 684.15
703.45
n'
y = yb – c3/2 – L2 – c4/2 – d
100
0*
703.45
o'
x3 = b2/2 – c1 – d
132
0*
928.56
p'
x = xb – c1 – d
100
92.11
703.45
q'
x = xb – c1/2 – L1 + c2/2 + d
100
– 699.81
703.45
r'
y = yb – c3/2 – L2 – c4/2 – d
100
22.68
703.45
* El eje se ubica afuera del área de la zapata.
La Tabla 2 muestra los cortantes por penetración que actúan sobre la zapata y los resistidos por el concreto de acuerdo al código (ACI 318S-14).
Tabla 2. Cortantes por penetración.
Columna
Perímetro critico
Cortantes por penetración
Actuantes kN
Resistidos kN
1
b0 = c1 + c3 + d
466.23
3629.81
7500.95
2348.70
2
b0 = c2 + 2c3 + 2d
1036.93
6415.49
13112.93
4151.20
3
b0 = 2c1 + c4 + 2d
911.26
6415.49
13112.93
4151.20
La Tabla 3 muestra el acero de refuerzo de la zapata combinada de esquina (ACI 318S-14).
Tabla 3. Acero de refuerzo de la zapata.
Reinforcing steel
Area cm2
Dirección del eje "Y"
Acero en la parte superior con un ancho b2
Acero principal
42.10
Acero mínimo
30.67
Acero propuesto
45.63 (9Ø1")
Acero en la parte superior con un ancho a − b2
Acero por temperatura
97.20
Acero propuesto
99.75 (35Ø3/4")
Acero en la parte inferior con un ancho b2
Acero principal
4.86
Acero mínimo
30.67
Acero propuesto
35.49 (7Ø1")
Acero debajo de la columna 2 con un ancho w2
Acero principal
8.37
Acero mínimo
40.48
Acero propuesto
42.75 (15Ø3/4")
Acero en la parte inferior con un ancho a − b2 − w2
Acero por temperatura
73.44
Acero propuesto
74.10 (26Ø3/4")
Dirección del eje "X"
Acero en la parte superior con un ancho b1
Acero principal
40.06
Acero mínimo
30.67
Acero propuesto
40.56 (8Ø1")
Acero en la parte superior con un ancho b – b1
Acero por temperatura
90.00
Acero propuesto
91.20 (32Ø3/4")
Acero en la parte inferior con un ancho b1
Acero principal
8.07
Acero mínimo
30.67
Acero propuesto
35.49 (7Ø1")
Acero debajo de la columna 3 con un ancho w3
Acero principal
6.88
Acero mínimo
40.48
Acero propuesto
42.75 (15Ø3/4")
Acero en la parte inferior con un ancho b – b1 – w3
Acero por temperatura
66.24
Acero propuesto
68.40 (24Ø3/4")
Los efectos que rigen el espesor de las zapatas son los momentos flexionantes, los cortantes por flexión y los cortantes por penetración, y el acero de refuerzo se diseña por los momentos. Para el espesor del ejemplo numérico rige el cortante por flexión en el eje q’-q’ (ver Tabla 1).
La Tabla 4 muestra la longitud mínima de desarrollo para barras deformadas “ld ” y la longitud disponible “la ”. Entonces, la longitud disponible es mayor que la longitud mínima de desarrollo en las dos direcciones (parte superior e inferior) (ver Tabla 4). Por lo tanto, no se requieren ganchos para la zapata combinada de esquina.
Tabla 4. Longitud mínima de desarrollo y la longitud disponible.
Localización del acero
ψt
ψe = λ
Longitud de desarrollo cm
Longitud disponible
Dirección del eje "X" cm
Dirección del eje "Y" cm
Parte superior
1.3
1.0
154.17
165
170
Parte inferior
1.0
1.0
96.00
140
100
La Figura 6 muestra en detalle el acero de refuerzo y las dimensiones de la zapata combinada de esquina.

Figura 6.
Diseño final de la zapata combinada de esquina
5. Conclusiones
El nuevo modelo presentado en este trabajo se aplica solo para el diseño de zapatas combinadas en esquina. Las consideraciones de este trabajo son: el miembro estructural es rígido y el suelo que soporta a la zapata es elástico y homogéneo, que cumplen con la ecuación de la flexión biaxial, es decir, la presión varía linealmente.
El nuevo modelo presentado en este documento concluye lo siguiente:
1.- El espesor para las zapatas combinadas de esquina se rige por el cortante por flexión, y las zapatas aisladas se rigen por el cortante por penetración.
2.- El nuevo modelo no está limitado, mientras que el diseño actual considera que la presión máxima en todos los puntos de contacto, es decir, la fuerza resultante de las cargas aplicadas coincide con la posición del centro geométrico de la zapata.
3.- El nuevo modelo se ajusta más a condiciones reales con respecto al diseño actual, porque el nuevo modelo toma en cuenta la presión lineal del suelo y el diseño actual considera la presión uniforme en toda la superficie de contacto y esta es la presión máxima.
4.- El nuevo modelo para el diseño de zapatas combinadas en esquina sujetas a carga axial y dos momentos en direcciones ortogonales debido a cada columna considera dos líneas de propiedad restringidas, pero puede ser aplicado a tres líneas de propiedad.
El nuevo modelo que se muestra en este trabajo en términos de las cargas aplicadas debido a cada columna se puede aplicar a: 1) Carga sin momentos, 2) Carga y un momento (flexión uniaxial), 3) Carga y dos momentos ortogonales (flexión biaxial).
Por lo tanto, el modelo propuesto es el más apropiado, ya que genera un mejor control de calidad en los recursos utilizados.
Las siguientes investigaciones pueden ser: 1) Una continuación de este trabajo seria formular el costo mínimo para las zapatas combinadas de esquina; 2) Cuando las zapatas combinadas de esquina soporten más de dos columnas en cada dirección; 3) El modelo propuesto se puede ampliar para diseño de losas de cimentaciones; 4) Cuando se desplante la zapata sobre otro tipo de suelo, por ejemplo en suelos totalmente arcillosos (suelos cohesivos) o en suelos totalmente arenosos (suelos granulares), el diagrama de presión es diferente al lineal y el diagrama podría ser parabólico (ver Figura 1).
References
Abdrabbo, F., Mahmoud, Z. I. and Ebrahim, M. (2016), Structural design of isolated column footings. Alexandria Engineering Journal. 55(3):2665-2678. https://doi.org/10.1016/j.aej.2016.06.016
ACI 318S-14 (2014), “Building Code Requirements for Structural Concrete and Commentary, Committee 318”, New York, USA.
Anil, Ö, Akbaş, S.O., BabagĪray, S., Gel, A.C. and Durucan, C. (2017), Experimental and finite element analyses of footings of varying shapes on sand. Geomechanics and Engineering. 12(2):223-238. https://doi.org/10.12989/gae.2017.12.2.223
Aydogdu, I. (2016), New Iterative method to Calculate Base Stress of Footings under Biaxial Bending. International Journal of Engineering & Applied Sciences (IJEAS). 8(4):40-48. https://doi.org/10.24107/ijeas.281460
Balachandar, S. and Narendra Prasad, D. (2017), Analysis and Design of Various Types of Isolated Footings. International Journal of Innovative Research in Science, Engineering and Technology. 6(3):3980-3986. http://www.ijirset.com/upload/2017/march/173_balachandar%20pmu.pdf
Bowles, J. E. (2001), “Foundation analysis and design”. McGraw-Hill, New York, USA.
Chen, W-R., Chen, C-S and Yu, S-Y. (2011), Nonlinear vibration of hybrid composite plates on elastic foundations. Structural Engineering & Mechanics. 37(4):367-383. https://doi.org/10.12989/sem.2011.37.4.367
Das, B.M., Sordo-Zabay, E., Arrioja-Juarez, R. (2006), “Principios de ingeniería de cimentaciones”, Cengage Learning Latín América, Distrito Federal, México.
Dezhkam, B. and Yaghfoori, A. (2018), Soil foundation effect on the vibration response of concrete foundations using mathematical model. Computers and Concrete. 22(2):221-225. https://doi.org/10.12989/cac.2018.22.2.221
El-kady, M. S. and Badrawi, E. F. (2017), Performance of isolated and folded footings. Journal of Computational Design and Engineering. 4:150-157. https://doi.org/10.1016/j.jcde.2016.09.001
Sawwaf, M. and Nazir, A. K. (2010), Behavior of repeatedly loaded rectangular footings resting on reinforced sand. Alexandria Engineering Journal. 49:349-356. https://doi.org/10.1016/j.aej.2010.07.002
Fillo, L., Augustin, T. and Knapcová, V. (2016), Influence of footings stiffness on punching resistance. Perspectives in Science. 7:204-207. https://doi.org/10.1016/j.pisc.2015.11.034
Ibrahim, A., Dif, A. and Othman, W. (2018), Nonlinearity analysis in studying shallow grid foundation. Alexandria Engineering Journal. 57:859-866. https://doi.org/10.1016/j.aej.2016.11.021
Khajehzadeh, M., Taha, M. R., El-Shafie, A. and Eslami, M. (2011), Modified particle swarm optimization for optimum design of spread footing and retaining wall. Journal of Zhejiang University-SCIENCE A. 12(6):415-427. https://link.springer.com/article/10.1631/jzus.A1000252
Kurian, N. P. (2005), “Design of foundation systems”, Alpha Science Int'l Ltd., New Delhi, India.
López-Chavarría, S., Luévanos Rojas, A. and Medina Elizondo, M. (2017), Optimal dimensioning for the corner combined footings. Advances in Computational Design. 2(2):169-183. https://doi.org/10.12989/acd.2017.2.2.169
Luévanos-Rojas, A., Faudoa-Herrera, J. G., Andrade-Vallejo, R. A. and Cano-Alvarez, M. A. (2013), Design of Isolated Footings of Rectangular Form Using a New Model. International Journal of Innovative Computing, Information and Control. 9(10):4001-4022. http://www.ijicic.org/ijicic-12-10031.pdf
Luévanos-Rojas, A. (2014a), Design of isolated footings of circular form using a new model. Structural Engineering and Mechanics. 52(4):767-786. https://doi.org/10.12989/sem.2014.52.4.767
Luévanos-Rojas, A. (2014b), Design of boundary combined footings of rectangular shape using a new model. Dyna-Colombia. 81(188):199-208. http://dx.doi.org/10.15446/dyna.v81n188.41800
Luévanos-Rojas, A. (2015), Design of boundary combined footings of trapezoidal form using a new model. Structural Engineering and Mechanics. 56(5):745-765. https://doi.org/10.12989/sem.2015.56.5.745
Luévanos-Rojas, A. (2016a), A comparative study for the design of rectangular and circular isolated footings using new models. Dyna-Colombia. 83(196):149-158. http://dx.doi.org/10.15446/dyna.v83n196.51056
Luévanos-Rojas, A. (2016b), A new model for the design of rectangular combined boundary footings with two restricted opposite sides. Revista ALCONPAT. 6(2):172-187. https://doi.org/10.21041/ra.v6i2.137
Luévanos-Rojas, A., López-Chavarría, S. and Medina-Elizondo, M. (2017a), Optimal design for rectangular isolated footings using the real soil pressure. Ingeniería e Investigación. 37(2):25-33. http://dx.doi.org/10.15446/ing.investig.v37n2.61447
Luévanos-Rojas, A., Barquero-Cabrero, J. D., López-Chavarría, S. and Medina-Elizondo, M. (2017b), A comparative study for design of boundary combined footings of trapezoidal and rectangular forms using new models. Coupled Systems Mechanics. 6(4):417-437. https://doi.org/10.12989/csm.2017.6.4.417
Luévanos-Rojas, A., López-Chavarría, S. & Medina-Elizondo, M. (2018), A new model for T-shaped combined footings Part II: Mathematical model for design. Geomechanics and Engineering. 14(1):61-69. https://doi.org/10.12989/gae.2018.14.1.061
Magade, S. B. and Ingle, R. K. (2019), Numerical method for analysis and design of isolated square footing under concentric loading. International Journal of Advanced Structural Engineering. 11:9-20. https://doi.org/10.1007/s40091-018-0211-3
Punmia, B. C., Kumar-Jain, A., Kumar-Jain, A. (2007), “Limit state design of reinforced concrete”, Laxmi Publications (P) Limited, New Delhi, India.
Santos, D. F. A., Lima Neto, A. F. and Ferreira, M. P. (2018), Punching shear resistance of reinforced concrete footings: evaluation of design codes. IBRACON Structures and Materials Journal. 11(2):432-454. https://doi.org/10.1590/s1983-41952018000200011
Shahin M. A. and Cheung E. M. (2011), Stochastic design charts for bearing capacity of strip footings. Geomechanics and Engineering. 3(2):153-167. http://hdl.handle.net/20.500.11937/6498
Tahmasebi poor, A., Barari, M., Behnia, M. and Najafi, T. (2015), Determination of the ultimate limit states of shallow foundations using gene expression programming (GEP) approach. Soils and Foundations. 55(3):650-659. https://doi.org/10.1016/j.sandf.2015.04.015
Varghese, P. C. (2009), “Design of reinforced concrete foundations”, PHI Learning Pvt. Ltd., New Delhi, India.
Yáñez-Palafox, J.A., Luévanos-Rojas, A., López-Chavarría, S. and Medina-Elizondo, M. (2019), Modeling for the strap combined footings Part II: Mathematical model for design. Steel and Composite Structures. 30(2):109-121. https://doi.org/10.12989/scs.2019.30.2.109