
| Applied Research | https://doi.org/10.21041/ra.v13i2.604 |
Analysis of the correlation between the condition of urban pavements and elements of the drainage system
Análise da correlação entre a condição de pavimentsos urbanos e elementos do sistema de drenagem
Análisis de la correlación entre el estado de los pavimentos urbanos y los elementos del sistema de drenaje
1 Centro de Tecnologia, Universidade Federal da Paraíba, João Pessoa, Brasil.
*Contact author: mariaingridydiniz@gmail.com
Reception:
May
08,
2022.
Acceptance:
March
29,
2023.
Publication: May 01, 2023.
| Cite as: Diniz, M.,Melo,R. (2023), "Análise da correlação entre a condição de pavimentos urbanos e elementos do sistema de drenagem", Revista ALCONPAT, 13(1), pp. 220 –234, DOI: https://doi.org/10.21041/ra.v13i2.604 |
Abstract
The research in question aimed to analyze the correlation between the pavement condition index and the condition of two surface drainage elements: culverts and gutters. The study was carried out from the analysis of 19 stretches, distributed by the neighborhood of Tambaú, in João Pessoa-PB. The calculation for the condition of the pavements was carried out using the PCI method and the condition of the drainage elements was verified through subjective analysis. The research results showed when the elements fit or not in the ideal conditions, and although the drainage elements are considered in the performance of the pavements, the statistical evaluation showed a weak correlation between the condition of the pavements and the evaluated drainage elements.
Keywords:
infrastructure systems,
statistic,
urban roads.
1. Introduction
Considered as the main mode of transport, highways are of great importance in the development of the country (PIRES E MENDES, 2021), and for roads to fulfill their function properly, they must have an appropriate state of conservation.
A pavement with a structure that does not perform adequately can lead to undesired consequences. In this perspective, the drainage of a road helps in its conservation, in addition to preventing accidents on the roads. Therefore, one of the main objectives of draining highways is to protect the infrastructure from the negative action of water, such as reducing the floor structure and breaking up embankments (LIMA et al., 2022).
According to Pinheiro, Coutinho and Ferreira (2021), the drainage system is an essential element with regard to the performance of most of the elements that make up an urban road. Still according to the author, the correct conduction of water is the main function of the drainage system, being able to preserve the characteristics of the pavement design layers, such as the base, sub-base and subgrade, in addition to ensuring greater durability of the pavement, in addition to preventing the accumulation of water on the surface.
One way to make sure that the drainage system works correctly is by checking the good condition of the elements that compose it. In addition to the structure, cleaning and maintenance of the elements are also essential for the system to fulfill its design functions.
Therefore, the work in question proposed to evaluate the correlation between the condition of the selected pavements and the condition of two surface drainage elements of the stretches: culverts and gutters. From the correlation, it is intended to ascertain to what extent there is influence of the state of conservation of the drainage elements on the condition of the pavements. Finally, those responsible for managing the infrastructure systems can use the metrics presented as an aid for the maintenance and recovery of the evaluated structures.
2. Literature revision
2.1 Pavementss
Road pavements are of great importance with regard to the development of a country in helping to carry out basic services, such as the transport of goods and the movement of the population. In view of their importance, it is necessary that the roads are in a good state of conservation so that they can offer their services in an adequate and safe way for users (LIMA et al., 2022).
One way to check whether pavements are in an acceptable state of repair is to calculate their condition index. One of these evaluations can be done from Pavement Condition Index (PCI), developed by the United States Army Corps of Engineers (USACE) in 1976. Initially developed only for the evaluation of airport pavements, and later in 1979 adapted to a specific version for the evaluation of road and urban pavements.
According to ASTM D6433-2018 - Standard Practice for Roads and Parking Lots pavement Condition Index Surveys, it is necessary to select a sample of size 225 m² ± 90m². The evaluation consists of carrying out the survey of defects, in addition to the quantity and severity of each one of them. Table 1 presents types of defects that must be identified during the application of the method.
| Table 1. Asphalt pavement defects and measurement unit for the PCI Method | |||||||||||||||||||
| Defect | Measuring Form | Defect | Measuring Form | ||||||||||||||||
|---|---|---|---|---|---|---|---|---|---|---|---|---|---|---|---|---|---|---|---|
| Fatigue Cracking | Area | Patches | Area | ||||||||||||||||
| Bleeding | Area | Polished Aggregate | Area | ||||||||||||||||
| Block Cracking | Area | Potholes | Unit | ||||||||||||||||
| Elevations/settlements | Meter | Rail crossing | Area | ||||||||||||||||
| Corrugation | Area | Rutting | Area | ||||||||||||||||
| Localized sinking | Area | Shoving | Area | ||||||||||||||||
| Edge crack | Meter | Cracks due to sliding masses | Area | ||||||||||||||||
| Reflection Cracking at Joints | Meter | Swelling | Area | ||||||||||||||||
| Gap between Pavement and shoulder | Meter | Raveling | Area | ||||||||||||||||
| Longitudinal and transverse cracking | Meter | - | - | ||||||||||||||||
| Source: ASTM (2018) - Adapted | |||||||||||||||||||
To calculate the pavement condition index, it is necessary to obtain the Deduction Values (DV) according to the type, severity and extent of the defect, which represents the influence it has on the pavement condition, ranging from 0 and 100, where 0 means the defect does not impact the condition of the pavement and 100 means the defect has the maximum harmful interference. DV values are obtained with the aid of abacuses available in ASTM D6433-2018. By adding up the DVs, it is possible to obtain the Total Deduction Value (VTD) for the pavementss analyzed with the help of equation 1.

Where:
a(Tj,Si ,Dij ): capacity loss function to serve traffic, whose independent variables are the type of:
Tj: types of defects;
Si: severity levels;
Dij: defect densities;
i: counter of types of defects;
j: severity levels counter;
p: total number of defect types;
mi: severity level number for the nth defect type;
F(t, q): adjustment factor to reduce the effect of excess types of defects. (t) depends on the number of functions (a), and (q) is the number of numerical values of functions (a) greater than 5.
In possession of the VTD, it is necessary to correct it depending on the number of defects present in each section, according to abacus 20 of the same standard. Therefore, it is possible to find the Corrected Deduction Amount (VDC) and, therefore, the PCI value resulting from Equation 2.

From the value obtained for the PCI in the section analyzed, the pavement is classified according to Table 2, varying its value from 0 (poor condition) to 100 (excellent condition).
| Table 2. PCI Classification | |||||||||||||||||||
| Classification | PCI value | ||||||||||||||||||
|---|---|---|---|---|---|---|---|---|---|---|---|---|---|---|---|---|---|---|---|
| Great | 86 – 100 | ||||||||||||||||||
| Very Good | 71 -85 | ||||||||||||||||||
| Good | 56 – 70 | ||||||||||||||||||
| Average | 41 – 55 | ||||||||||||||||||
| Bad | 26 – 40 | ||||||||||||||||||
| Very Bad | nov-25 | ||||||||||||||||||
| Terrible | 0 - 10 | ||||||||||||||||||
| Source: Shahin (2005) | |||||||||||||||||||
2.2 Drainage of Urban Pavements
According to Corrêa and Dutra (2018), the drainage system can be understood as the set of elements that aim to guarantee the integrity of the roads and their surroundings, in addition to promoting safety for users. Such devices direct the water to a suitable location, being properly planned during the construction or restoration of a road (REIS, 2016).
When referring to the urban drainage system, it is necessary to understand its subdivision into macro drainage and micro drainage (RESPLANDES et al., 2021). According to the Department of Sanitary Engineering at the University of São Paulo (2015), macro drainage can be defined as a cursor that directs a high volume of water, such as rivers and streams. In the case of micro drainage, it can be considered as the part of the system responsible for directing rainwater to the macro system. This is composed of elements such as gutters, manholes, manholes, manholes and galleries.
In the case of urban pavements on a road, the existence of a micro-drainage system for directing rainwater is essential, since it is necessary to maintain such essential infrastructure in ideal operating conditions (SOUZA, 2012).
With regard to the accumulation of water, whether surface or groundwater, it can be a harmful factor for highways. According to Lima et al. (2022), the accumulation of water on the roadway can severely impair the conditions of adhesion of the roadway, and may cause accidents.
In the case of floods, it is also possible to observe significant damage to the pavements and, consequently, to the population. In addition to the change in traffic with the visible reduction in safety, water is capable of infiltrating the layers of the pavement, reducing its useful life. The water that remains contained in the layers, in addition to that coming from the water table, can cause damage such as a reduction in the support capacity of the subgrade layer, in addition to sinking and even rupture (REIS, 2016).
3. Methodology
To fulfill the objective proposed by the research, the following sequence of activities was developed:
i) delimitation of the study area;
ii ) preparation of forms for data collection;
iii ) survey of data on the condition of the pavements;
iv ) survey of data on the condition of drainage elements;
v) analysis of the correlation between the results found.
The evaluated excerpts are the subject of study by undergraduate and graduate students at the Federal University of Paraíba - UFPB. Due to the availability of a database on the stretches in question (item 3.1) and because it is considered a tourist district in the city where the quality of the roads needs to be presented in ideal conditions, it was decided to evaluate the correlation between the information.
Regarding the pavements, the survey of defects was carried out by analyzing images available in the database used, using the form available in NBR 006/2003 - PRO. To help the defects quantification step, concomitantly with the measurement, a photographic record was made for each defect so that their severity could be assessed, helping in the subsequent use of the abacuses of appendix X3 of Standard ASTM D6433 − 18, during the step of qualification.
To obtain data regarding the surface urban drainage system, a survey was carried out of the elements that made up the network, adapted from the study by Novaes et. al. (2019), based on filling in the forms prepared to quantify the existence of storm drains and gutters, as well as the qualification of their respective conservation conditions, which can be good, regular or terrible.
3.1 Characterization of the Excerpts
The evaluated stretches were distributed throughout the neighborhood of Tambaú, in the city of João Pessoa - PB. Roads that simultaneously had flexible paving and a surface drainage system were chosen. The location of the sections is shown in Figure 1.
![]() |
||||
| Figure 1. Location of the Study Area and Excerpts | ||||
The information detailed information about the locations of each section can be found at Table 3. To maintain the proportionality of the samples, all had the same length of 80 meters.
| Table 3. Information about the Sections | ||||||||||||||
| Section | Range | Streat | Sense | Limits | Length (m) | |||||||||
|---|---|---|---|---|---|---|---|---|---|---|---|---|---|---|
| Start | Final | |||||||||||||
| 1 | Left | Road Our Mrs dos Navegantes | Tambaú - Manaíra | Space of being | Handicraft Market – Av. Ruy Carneiro | 80 | ||||||||
| 2 | Right | Senhora dos Navegantes Road | Tambaú - Manaíra | Space of being | Handicraft Market - Ruy Carneiro Ave. | |||||||||
| 3 | Left | Nego Ave. | Beach | Infante Dom Henrique St. | Prof. Maria Sales Ave. | |||||||||
| 4 | Right | Nego Ave. | Beach | Infante Dom Henrique St. | Prof. Maria Sales Ave. | |||||||||
| 5 | Left | Nego Ave. | Beach | Av. Prof. Maria Sales | N. Sra dos Navegantes St. | |||||||||
| 6 | Right | Nego Ave. | Beach | Ave. Prof. Maria Sales | N. Sra dos Navegantes St. | |||||||||
| 7 | Left | Infante Dom Henrique St. | Tambaú - Manaíra | Nego Ave. | Av. Olinda | |||||||||
| 8 | Right | Infante Dom Henrique St. | Tambaú - Manaíra | Nego Ave. | Av. Olinda | |||||||||
| 9 | Left | Helena Meira Lima Street | Center | Prof. Maria Sales Ave. | Infante Dom Henrique St. | |||||||||
| 10 | Right | Helena Meira Lima Street | Center | Av. Prof. Maria Sales | Infante Dom Henrique St. | |||||||||
| 11 | Left | Helena Meira Lima Street | Center | Streat Monteiro Lobato | Streat Silvino Lopes | |||||||||
| 12 | Right | Helena Meira Lima Street | Center | Monteiro Lobato St. | Before the crosswalk with Silvino Lopes St._ | |||||||||
| 13 | Left | Helena Meira Lima Street | Center | Antonio Lira Ave | Senhora dos Navegantes Road | |||||||||
| 14 | Right | Helena Meira Lima Street | Center | Antonio Lira Ave. | Senhora dos Navegantes Road | |||||||||
| 15 | Left | Pres. Epitácio Pessoa St. | Bessa | Road Senhora dos Navegantes | Prof. Maria Sales Ave. | |||||||||
| 16 | Right | Pres. Epitácio Pessoa St. | Bessa | Road Senhora dos Navegantes | Prof. Maria Sales Ave. | |||||||||
| 17 | Left | Pres. Epitácio Pessoa St. | Bessa | Manoel Cavalcante de Sousa Ave. | Prof. Maria Sales Ave. | |||||||||
| 18 | Right | Pres. Epitácio Pessoa St. | Bessa | Manoel Cavalcante de Sousa Ave. | Prof. Maria Sales Ave. | |||||||||
| 19 | Right | Adm. Tamandare Ave. | Bessa | Olinda Ave. | Sto. Antonio Square | |||||||||
3.2 Statistic Analysis
It is possible to verify the existence of the relationship, as well as the intensity, existing between two variables from the analysis of your correlation. For this, the Pearson Correlation coefficient (r) presented by equation 3 (MERGH, 2019; OLIVEIRA et al., 2022) was used.

Where:
n: number of pairs of observations;
Xi: observation i of variable X;
Yi: observation i of variable Y;
X - : average of X values;
Y - : average of Y values.
In agreement with Francisco & Dantas Neto (2021), it is possible take intervals to help with interpretation of the results of r, as presented at table 4.
| Table 4. Interpretation of Correlation Coefficient Values (r) | |||||||||||||||||||
| Correlation Coefficients (r) | Types of Correlations | ||||||||||||||||||
|---|---|---|---|---|---|---|---|---|---|---|---|---|---|---|---|---|---|---|---|
| r=1 | Perfect Positive | ||||||||||||||||||
| 0.8 ≤ r < 1 | Strong Positive | ||||||||||||||||||
| 0.5 ≤ r < 0.8 | Moderate Positive | ||||||||||||||||||
| 0.1 ≤ r < 0.5 | Weak Positive | ||||||||||||||||||
| 0 < r < 0.1 | Intimate Positive | ||||||||||||||||||
| 0 | Null | ||||||||||||||||||
| 0.1< r < 0 | Intimate Negative | ||||||||||||||||||
| -0.5 < r ≤ -0.1 | Weak Negative | ||||||||||||||||||
| -0.8 < r ≤ - 0.5 | Moderate Negative | ||||||||||||||||||
| -1< r ≤ - 0.8 | Strong Negative | ||||||||||||||||||
| r = -1 | Perfect Negative | ||||||||||||||||||
| Source: Francisco & Dantas Neto (2021) Adapted | |||||||||||||||||||
For the analysis in question, the PCI value, due to its calculation methodology present bigger accuracy of the real quantification of the state of condition of the evaluated element (pavements), will be considered with independent variable (X). The dependent variables will therefore be the manholes (Y 1 ) and the gutters (Y 2 ).
To assist in analysis statistics, the hypothesis statistical test was performed to ascertain the difference between the averages obtained. In this case, the following will be determined hypotheses:


Where:
H0 : Null hypothesis;
HA : Alternative hypothesis;
μ 1 and μ 2: Averages of populations 1 and 2, respectively (Being the population related to the pavements and the population 2 each of the drainage elements at a time).
In that study, the case considered was that of data not paired, with population standard deviations _ known, resulting in two mean comparisons. The procedure consists of testing the mean differences between the populations, adopting the order of 0.5 based on the study by Medeiros et al. (2017). Then, the analysis verifies the following hypothesis:


Where:
μd : Difference of means between populations.
4. Results and discussion
4.1 Pavements Condition
The survey of the defects found in the pavements is shown in Table 5. The defects of block cracking, elevation and settlement, corrugation, joint reflection cracking, pavement/side slope unevenness, railway crossing, mass slippage, cracking due to slipping and swelling were not found during the survey, and due to this, there is no quantification of the aforementioned defects in Table 5.
| Table 5. Quantification of Pavement Defects | |||||||||||||||||||
| Sec. | TF | E | AL | TB | TLV | R | AP | P | TR | D | |||||||||
|---|---|---|---|---|---|---|---|---|---|---|---|---|---|---|---|---|---|---|---|
| Area [m2] | Area [m2] | Area [m2] | Meter | Meter | Area [m2] | Area [m2] | Items. | Area [m2] | Area [m2] | ||||||||||
| 1 | - | - | - | 12 | 143 | 5 | - | - | - | 50 | |||||||||
| 2 | 88 | - | - | - | 90 | 2 | - | - | 15 | 200 | |||||||||
| 3 | 59 | - | 0.5 | 42 | 46 | - | 1 | - | 210 | ||||||||||
| 4 | 79 | - | 38.7 | 42 | 11.25 | - | - | - | 220 | ||||||||||
| 5 | - | - | - | - | 43 | 4.25 | - | - | - | 38 | |||||||||
| 6 | - | - | - | - | 21 | - | 1 | - | 26 | ||||||||||
| 7 | - | - | - | - | - | - | - | - | - | 5 | |||||||||
| 8 | - | - | - | - | 35 | - | - | - | - | 13 | |||||||||
| 9 | - | 0.1 | - | - | - | - | - | - | - | 46 | |||||||||
| 10 | - | - | - | - | - | 4.5 | - | - | - | 61 | |||||||||
| 11 | - | - | - | - | - | 2 | - | - | - | 9 | |||||||||
| 12 | - | 0.5 | - | - | - | - | - | - | - | 19 | |||||||||
| 13 | - | - | - | - | - | 1 | 6 | - | - | - | |||||||||
| 14 | - | - | - | - | - | - | - | - | - | 36 | |||||||||
| 15 | - | - | - | - | 49 | - | - | - | - | 73 | |||||||||
| 16 | 32 | - | - | - | - | - | 2 | - | - | 54 | |||||||||
| 17 | - | - | - | - | 6 | - | - | - | - | 80 | |||||||||
| 18 | - | - | - | - | - | - | - | - | - | 32 | |||||||||
| 19 | - | - | - | - | - | - | - | - | - | 15 | |||||||||
| Caption: TLV: Longitudinal and Transverse Crack, TF: Settlements, E: Bleeding, AL: Localized Sinking, TB: Block Crack, R: Patch, AP: Polished Aggregate, P: Potholes, TR: Rutting, D: Raveling. | |||||||||||||||||||
From the evaluation of the survey of defects of the sections, it was it is possible to point out that the defect with wear and tear was the greatest record, appearing in almost all evaluated locations, with exception of Section 13.
A large number of the cracks presented may have been caused by reflection of the cracks at the base of parallelepipeds. It is important to highlight that no he was possible to acquire the information with City Hall about which flexible pavements evaluated had or no this type of base in parallel. the observation this factor was only possible when the base was exposed due to some pavements defect.
in agreement with Bernucci et al. (2008), these cracks also can be caused by too much, such as the action of repetitive traffic loads, climate action (thermal gradients), the possible binder aging and loss of flexibility, inefficient compaction of the coating, deficiency in asphalt binder content, undersizing, differential settlements, among others.
After weighting the affected area as determined byASTM D6433/2018, it was possible to calculate the condition of the pavements from the PCI. The index values for each stretch, as well as the respective classification, are found inTable 6.
| Table 6. Pavement Condition Classification by the PCI method | ||||||||||||||
| Section | PCI | Classification | ||||||||||||
|---|---|---|---|---|---|---|---|---|---|---|---|---|---|---|
| 1 | 56 | Good | ||||||||||||
| 2 | 20 | Too bad | ||||||||||||
| 3 | 37 | Bad | ||||||||||||
| 4 | 50 | Average | ||||||||||||
| 5 | 81 | Very Bad | ||||||||||||
| 6 | 74 | Very Good | ||||||||||||
| 7 | 98 | Great | ||||||||||||
| 8 | 88 | Great | ||||||||||||
| 9 | 92 | Great | ||||||||||||
| 10 | 89 | Great | ||||||||||||
| 11 | 94 | Great | ||||||||||||
| 12 | 95 | Great | ||||||||||||
| 13 | 99 | Great | ||||||||||||
| 14 | 94 | Great | ||||||||||||
| 15 | 62 | Good | ||||||||||||
| 16 | 64 | Good | ||||||||||||
| 17 | 83 | Very Good | ||||||||||||
| 18 | 80 | Very Good | ||||||||||||
| 19 | 85 | Very Good | ||||||||||||
4.2 Condition of Drainage Elements
Existence and conditions of the drainage elements (mouths and gutters) were observed in the evaluated stretches. Information about the elements can be found at Table 7. The absence of both elements was found in excerpts 15 and 17. concomitant presence of the elements in the most of the sections evaluated, with exception of section 4, which does not featured wolf's mouths on the your extension, however counted with the presence of gutter.
| Table 7. Quantification and Qualification of Drainage Elements | ||||||||||||||
| Section | Quantification of Elements | Qualification of Elements | ||||||||||||
|---|---|---|---|---|---|---|---|---|---|---|---|---|---|---|
| Wolf mouth | Gutter | |||||||||||||
| Wolf mouth | Gutter | Good | Regular | Terrible | Good | Regular | Terrible | |||||||
| 1 | 3 | Yes | x | - | - | - | - | x | ||||||
| 2 | two | Yes | - | x | - | - | x | - | ||||||
| 3 | 1 | Yes | x | - | - | - | x | - | ||||||
| 4 | 0 | Yes | - | - | - | - | x | - | ||||||
| 5 | 1 | Yes | x | - | - | - | x | - | ||||||
| 6 | 1 | Yes | x | - | - | - | x | - | ||||||
| 7 | 2 | Yes | - | - | x | - | x | - | ||||||
| 8 | 2 | Yes | -- | x | - | - | x | - | ||||||
| 9 | 1 | Yes | x | - | - | x | - | - | ||||||
| 10 | 1 | Yes | x | - | - | x | - | - | ||||||
| 11 | 1 | Yes | x | - | - | x | - | - | ||||||
| 12 | 1 | Yes | x | - | - | x | - | - | ||||||
| 13 | 1 | Yes | - | x | - | x | - | - | ||||||
| 14 | 1 | Yes | x | - | - | x | - | - | ||||||
| 15 | 0 | No | - | - | - | - | - | - | ||||||
| 16 | 1 | Yes | x | - | - | - | x | - | ||||||
| 17 | 0 | No | - | - | - | - | - | - | ||||||
| 18 | 1 | Yes | - | - | x | - | x | - | ||||||
| 19 | 1 | Yes | x | - | - | - | x | - | ||||||
in agreement with table 7, sections 1, 2, 7 and 8 presented more than one manhole to be evaluated. In this case, only one marking he was done in the element qualification column, since all the culverts of the same stretch had the same condition, such as stretches 2 and 8, which had two manholes each, and both pieces were in fair condition.
He was possible to verify that most of the culverts of the stretches, adding a total of 57.9%, fit at good condition category.
Regarding the condition of the gutters, only stretch 1 presented the Bad conditions. Then, even if the section has presented 3 culverts, the condition of the gutter possibly prevents the directing of water to them, which interferes with the functioning of the system. The other stretches had the gutters in regular (52.6%) or good (31.6%) conditions.
4.3 Correlation between Pavement Condition and Drainage Elements
Table 8 presents the comparison between the indices found for the condition of each evaluated element. To allow comparison between the data, adapted from Silva, Diniz and Melo (2020), the PCI values were divided by 25 (twenty-five) and converted to the same scale as the condition of the gutters and culverts, or that is, values between 0 and 4.
| Table 8. Comparison between condition indices of evaluated elements | ||||||||||||||
| Section | Values | Condition Classification | ||||||||||||
|---|---|---|---|---|---|---|---|---|---|---|---|---|---|---|
| PCI (Pavements) | Wolf's mouths | Gutter | PCI (Pavements) | Wolf's mouths | Gutter | |||||||||
| 1 | 2.24 | 3 | 1 | Good | Good | Terrible | ||||||||
| 2 | 0.8 | 2 | 2 | Very Bad | Regular | Regular | ||||||||
| 3 | 1.48 | 3 | 2 | Bad | Good | Regular | ||||||||
| 4 | 2 | 0 | 2 | Average | Does not exist | Regular | ||||||||
| 5 | 3.24 | 3 | 2 | Very Bad | Good | Regular | ||||||||
| 6 | 2.96 | 3 | 2 | Very Good | Good | Regular | ||||||||
| 7 | 3.92 | 1 | 2 | Great | Terrible | Regular | ||||||||
| 8 | 3.52 | 2 | 2 | Great | Regular | Regular | ||||||||
| 9 | 3.68 | 3 | 3 | Great | Good | Good | ||||||||
| 10 | 3.56 | 3 | 3 | Great | Good | Good | ||||||||
| 11 | 3.76 | 3 | 3 | Great | Good | Good | ||||||||
| 12 | 3.8 | 3 | 3 | Great | Good | Good | ||||||||
| 13 | 3.96 | 2 | 3 | Great | Regular | Good | ||||||||
| 14 | 3.76 | 3 | 3 | Great | Good | Good | ||||||||
| 15 | 2.48 | 0 | 0 | Good | Does not exist | Does not exist | ||||||||
| 16 | 2.56 | 3 | 2 | Good | Good | Regular | ||||||||
| 17 | 3.32 | 0 | 0 | Very Good | Does not exist | Does not exist | ||||||||
| 18 | 3.2 | 1 | 2 | Very Good | Terrible | Regular | ||||||||
| 19 | 3.4 | 3 | 2 | Very Good | Good | Regular | ||||||||
From table 5, it is observed that in 5 sections (9, 10, 11, 12 and 14) the condition of all the evaluated elements was maximum, being “excellent” for the pavements and “good” for the storm drains and gutters. However, even if the best pavements evaluation as well has been achieved in sections 7, 8 and 13, the condition of the drainage elements no reached the same classification, varying between “regular” and “terrible”.
It is necessary to highlight the situation presented by excerpts 15 and 17, which, even with none of the drainage elements evaluated in the research present in the roads, the pavement presented itself in conditions acceptable to users, with second- best classification on the previously presented scale at Table 2. This result conflicts in the sense in which it is suggested that for a good functioning of the roads is necessary the direction adequate amount of water present in the pavement surface.
Table 9 presents the average values, deviation pattern and variance of the results found for each evaluated element. the deviation standard it was considered of the sampling type (n-1).
| Table 9. Mean and Deviation Standard Element Condition Indices | ||||||||||||||
| Element | Average (μ) | Detour Standard sample (σ) | variance (σ2) | |||||||||||
|---|---|---|---|---|---|---|---|---|---|---|---|---|---|---|
| Pavements (PCI) | 3.03 | 0.89 | 0.79 | |||||||||||
| Mouths of Wolf | 2.16 | 1.17 | 1.37 | |||||||||||
| gutters | 2.05 | 0.91 | 0.82 | |||||||||||
It is possible to observe that for the three evaluated elements (Table 9), the deviation standard was high , indicating high dispersion between the values collected in the field.
Also he was A comparison is made between the elements based on the difference between the averages of the results of each evaluation to verify the previously determined null hypothesis presented at Table 10.
| Table 10. Difference of Means and Null Hypothesis Analysis _ | ||||||||||||||
| Analysis | Difference of Means (µd) | null hypothesis (H 0) | ||||||||||||
|---|---|---|---|---|---|---|---|---|---|---|---|---|---|---|
| Pavements x Bocas de Lobo | 0.88 | reject | ||||||||||||
| Pavements x Gutters | 0.98 | reject | ||||||||||||
It is possible to check in Table 10 rejection of the null hypothesis in both analyzes carried out, since the difference between the evaluated elements was presented above 0.5. Therefore, the values found do not can be considered acceptable for the correlation between the elements.
To assess the level of correlation, the analysis was carried out separately for each drainage element combined with the pavement condition index, or i.e., the correlation between the condition of the pavements and the storm drains was verified, and then the correlation between the pavements and the gutters. The results found are presented at Table 11.
| Table 11. Pearson's Correlation and Determination Coefficients | ||||||||||||||
| Combination | Correlation Coefficient (r) | Coefficient of Determination r2) | ||||||||||||
|---|---|---|---|---|---|---|---|---|---|---|---|---|---|---|
| Pavements x Bocas de Lobo | 0.14 | 0.02 | ||||||||||||
| Pavements x Gutters | 0.39 | 0.15 | ||||||||||||
From Table 11, it is possible to verify that both correlations were within the interval of 0.1 ≤ r ≤ 0.5, being thus considered as weak and positive. However, it is necessary to point out that the comparison with the interpretation of Francisco and Dantas Neto (2021) is considered arbitrary, since the values do not take into account the context of the study.
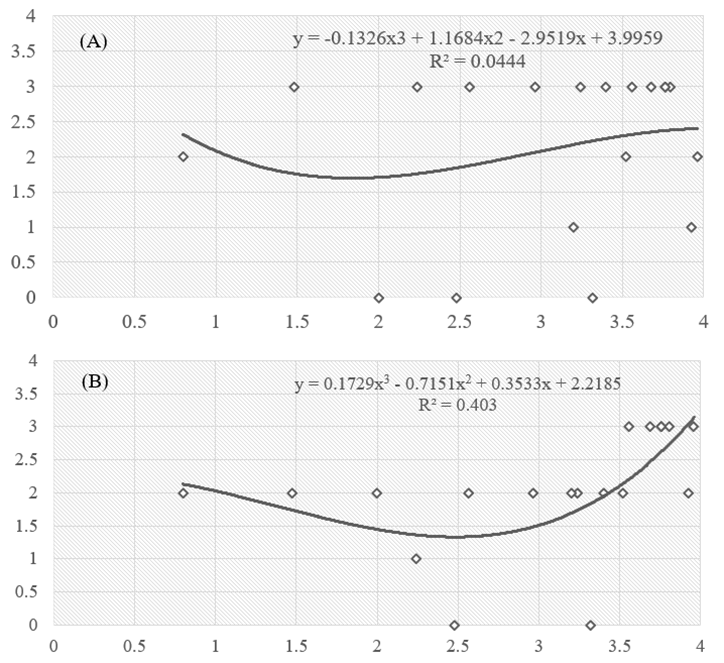
Although the results do not show clear behavior of a 3rd degree equation, in an attempt to improve the value of r², a degree 3 polynomial regression for both analyses. From Figure 2, it is possible to observe the dispersion between the condition of the pavements related to the condition of the culverts (Figure 2-A) and gutters (Figure 2-B), respectively.
![]() |
||||
| Figure 2. Polynomial Regression: A) Pavements x Gutters, B) Pavements x Gutters | ||||
From the analysis of the results it is possible to verify that for the first verification (Figure 2-A) data dispersion is presented with accuracy low, in which the attempt of polynomial adjustment of the curve did not prove to be adequate , with a value of r²<0.1, considered low . In the second case (Figure 2-B), the results showed better accuracy when compared to the first analysis. In the case of curve fitting, the result showed moderately satisfactory behavior, achieving an r²=0.4.
5. Final considerations
From the bibliographic survey, the drainage elements were presented as primordial criteria for the good performance of the pavements, and, although the statistical evaluation has shown a weak correlation between the condition of the pavements and the evaluated drainage elements, it is necessary to highlight the level of complexity of urban road elements, such as the presence of other infrastructure systems (water distribution, sewage collection, energy, gas, etc. ) use, frequency of corrective maintenance, existence of preventive maintenance, among others.
With regard to the condition of the analyzed infrastructure, the data collected and evaluated present a comprehensive overview of the assessment of the situation, since for each element all types of conditions existing in the assessment forms were found, from systems considered in good condition to those classified as the worst condition. Therefore, this holistic representation of infrastructure systems could provide combinations of situations to exemplify the need and importance of monitoring the condition of the elements.
The indication of the severity, scope and extent proved to be adequate for the context of the work, however, to make it even more coherent with the recorded reality, it is recommended to calculate the condition of the pavements by other methods, such as Distress Manifestation Index Network Level (DMINL, 2010) and Urban Pavement Condition Index (UPCI, 2015), in addition to surveying the condition of other elements present on the road that may influence the condition of the pavements.
Although it was not the objective of the research to suggest maintenance proposals for the evaluated elements, the classification of severity levels together with the integration of the data of the elements, presented itself as a viable instrument for planning and pointing out priorities for intervention in the roads, as well as acceptability assessments of the state of functionality and usefulness of the elements, thus being able to establish goals for possible maintenance interventions by the responsible bodies.
References
ASTM International. (2018), ASTM D6433-18, Standard Practice for Roads and Parking Lots Pavement Condition Index Surve. DOI: https://doi.org/10.1520/D6433-18
Bernucci, L. B., et al. (2008), “Pavimentação asfáltica: Formação básica para engenheiros.” 1°ed. Programa Asfalto nas Universidades, Petrobras Distribuidora S.A.
DEPARTAMENTO NACIONAL DE INFRAESTRUTURA DE TRANSPORTES. (2003). NORMA 006/2003 - PRO: Avaliação objetiva da superfície de pavimentos flexíveis e semi-rígidos - Procedimento. Rio de Janeiro: DNIT.
Francisco, M. R. P., Dantas Neto, J. (2021), A282 Água: uso racional e sustentável. 113 f.: il. color. Campina Grande: EPTEC.
Lima, W. A. S., Sousa, J. P., Matos, O. S., Silva, F. G. S., Oliveira, M. M., Pacheco, G. V. (2022), Sistemas de drenagem: a importância para a infraestrutura do transporte rodoviário brasileiro. Brazilian Road Transport Infrastructure, v.8, n.3, p. 17813-17831. https://doi.org/10.34117/bjdv8n3-153
Medeiros, R. S., Albuquerque, T. P., Morais, L. M. B., Araújo, L, G, C., Melo, R. A. (2018), “Avaliação Das Condições De Conservação De Pavimentos, Drenagem E Calçadas Em Vias Da Cidade De João Pessoa.” 32º Congresso de Pesquisa e Ensino em Transporte da ANPET, p. 1297-1308.
Mergh, L. S. (2019), “Análise de Indicadores da Gestão de Produção em Obras Corporativas”, Dissertação de Mestrado em Construção Civil. Universidade Federal de Mina Gerais, Belo Horizonte.
Novaes, M. P., Carvalho, M. B., Silva, D. C., Rodrigues, H. S., Amorim, M. C. C. (2019), Avaliação das condições de infraestrutura em drenagem pluvial urbana no munícipio de Curaçá-BA. Brazilian Journal of Development, Curitiba, v. 5, n. 11, p. 25043-25048. https://doi.org/10.34117/bjdv5n11-178
Oliveira, T. S., Anjos, J. S., Ribeiro, S. E., Oliveira, D. M. (2022), Análise Descritiva e de Correlação dos Indicadores de Desempenho: Custo, Prazo E Ritmo. Revista de Engenharia e Tecnologia. V. 14, Nº. 1, 2022. ISSN 2176-7270
Pires, J. C. M., Mendes, A. T. (2021), Manifestações patológicas em pavimentação asfáltica: estudo de caso na TO-050, no trecho do anel viário em Porto Nacional/TO. Engineering Sciences, v.9, n.1, p.28-39. http://doi.org/10.6008/CBPC2318-3055.2021.001.0004
Resplandes, I. S., Toledo, F. R. S., Resplandes, H. D. de A., Santos, W. S., Borges, K., Carvalho, C. M. (2021). Ausência de sistemas de drenagem urbana nos pavimentos de Santana do Araguaia-PA e seus impactos. The Journal of Engineering and Exact Sciences, 7(1), 12111-01. https://doi.org/10.18540/jcecvl7iss1pp12111-01-09e
Silva, A. N. A., Diniz, M. I L., Melo., R. A. (2020). “Avaliação das condições do pavimento em vias urbanas na cidade de João pessoa/PB: uma comparação entre índices” in: 34º Congresso de Pesquisa e Ensino em Transportes da ANPET. Anais do 34º ANPET - Infraestruturas.